🇳🇴 🇬🇧 🇩🇪 🇨🇿 🇫🇮

Meteor, poloha: Orsa 2025-09-18 21:45:46 UTC

Soubor KML  |  InteraktivnĂ­ mapa

Mapa zobrazuje dráhy meteoru. Světlejší čáry ukazují směry od pozorovacích stanic při objevení se meteoru a tmavší čáry, kde byl naposledy viděn. Modrá šipka značí viditelnou dráhu meteoru.

static map
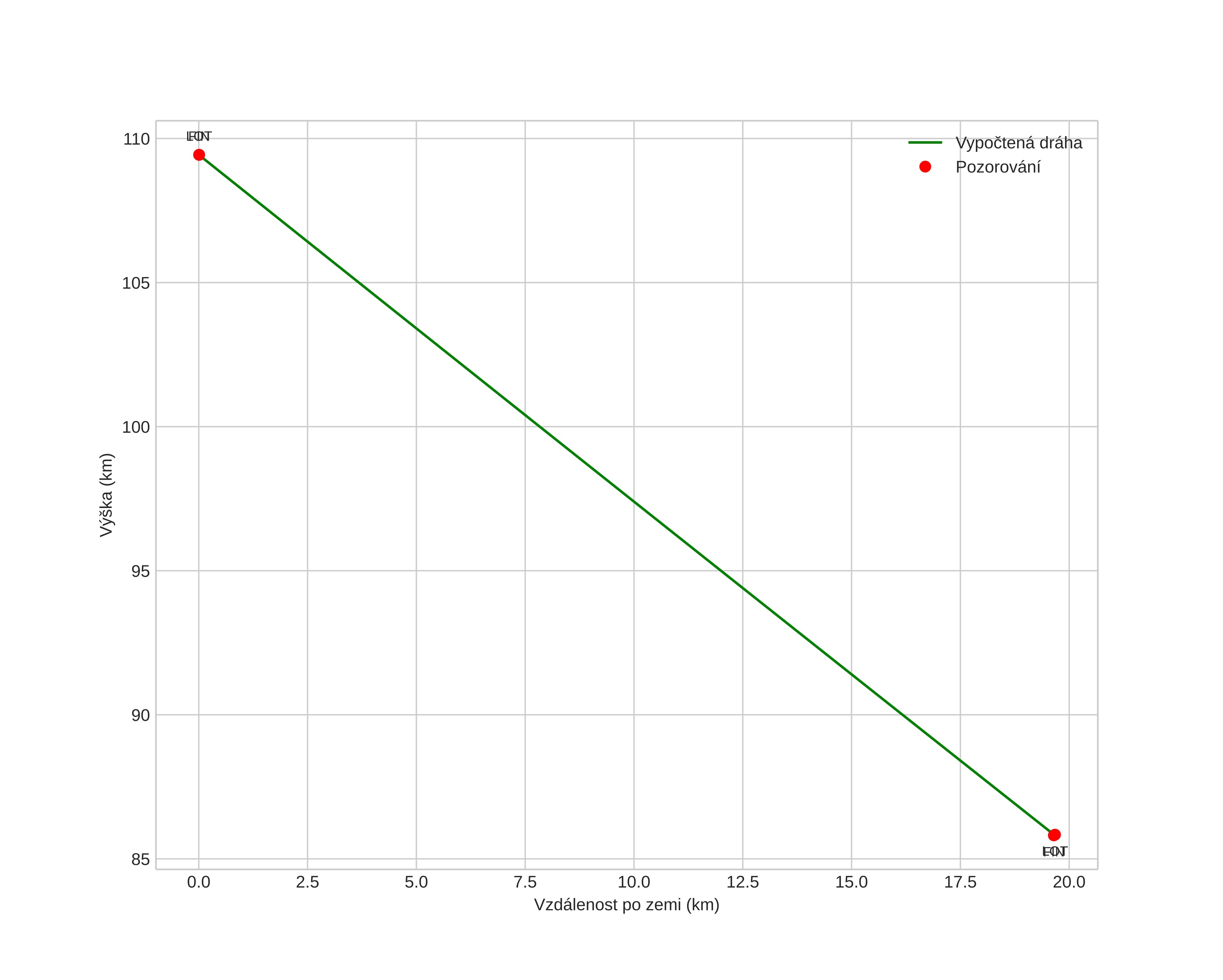
height profile
Atmosférická dráha meteoru:
Počáteční výška: 111,9 km
Konečná výška: 85,9 km
Počáteční poloha: 61,544N 15,025E
Konečná poloha: 61,478N 14,622E
Směr: 251,5°
Sklon: 49,0°
VstupnĂ­ rychlost: 60,9 km/s
Rektascenze radiantu: 03:33 (53,3°)
Deklinace radiantu: 49,5°
MeteorickĂ˝ roj: september-epsilon-perseidene
Elementy dráhy meteoroidu:
Vzdálenost v periheliu: 0,730 AU
Excentricita: 0,875
Sklon dráhy: 122,3°
Délka vzestupného uzlu: 175,9°
Argument perihelia: 245,5°
Střední anomálie: 357,3°
Epocha: 2025 SEP 18 21:45:46
orbit plot

NeinteraktivnĂ­ graf | InteraktivnĂ­ graf

position vs time
speed and acceleration

Finnskogen (FIN) cam2


gnomonic
Videa
• Gnomonická
• Gnomonická se souřadnicemi
• Původní
• Původní se souřadnicemi
Obrázky
• Gnomonická
• Gnomonická se souřadnicemi
• Původní
• Původní se souřadnicemi
Textové soubory
• Detekce
• Pozorování
• Souřadnice
• Protokol
Jasnost

Loten (LOT) cam2


gnomonic
Videa
• Gnomonická
• Gnomonická se souřadnicemi
• Původní
• Původní se souřadnicemi
Obrázky
• Gnomonická
• Gnomonická se souřadnicemi
• Původní
• Původní se souřadnicemi
Textové soubory
• Detekce
• Pozorování
• Souřadnice
• Protokol
Jasnost