🇳🇴 🇬🇧 🇩🇪 🇨🇿 🇫🇮

Meteor, poloha: Hurdal 2025-09-19 02:11:20 UTC

Soubor KML  |  Interaktivní mapa

Mapa zobrazuje dráhy meteoru. Světlejší čáry ukazují směry od pozorovacích stanic při objevení se meteoru a tmavší čáry, kde byl naposledy viděn. Modrá šipka značí viditelnou dráhu meteoru.

static map
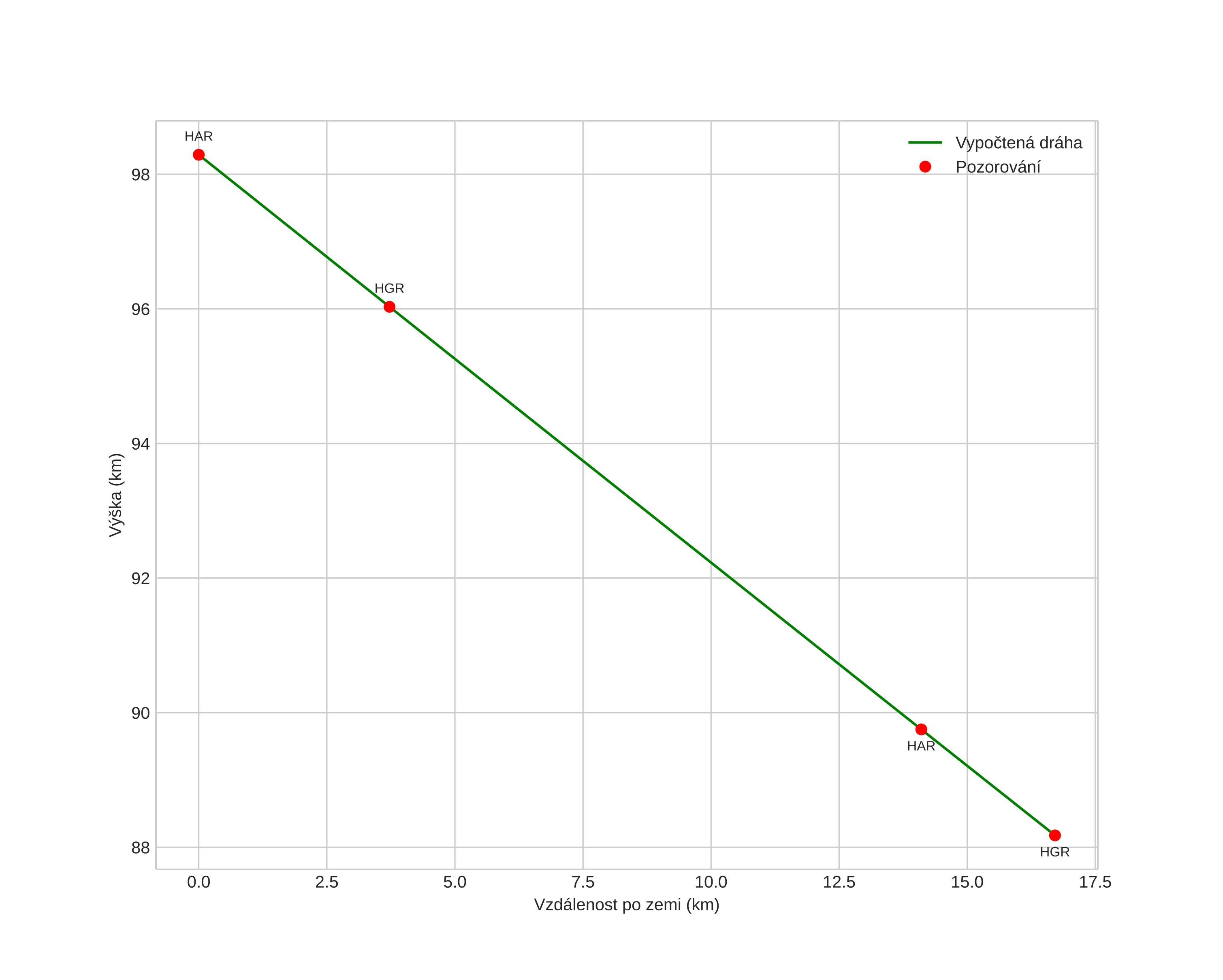
height profile
Atmosférická dráha meteoru:
Počáteční výška: 95,5 km
Konečná výška: 90,6 km
Počáteční poloha: 60,439N 11,081E
Konečná poloha: 60,492N 11,171E
Směr: 39,6°
Sklon: 32,3°
Vstupní rychlost: 31,5 km/s
Rektascenze radiantu: 00:31 (7,8°)
Deklinace radiantu: 6,0°
Meteorický roj: Jižní Tauridy
Elementy dráhy meteoroidu:
Vzdálenost v periheliu: 0,318 AU
Excentricita: 0,859
Sklon dráhy: 3,2°
Délka vzestupného uzlu: 176,1°
Argument perihelia: 298,6°
Střední anomálie: 347,9°
Epocha: 2025 SEP 19 02:11:20
orbit plot

Neinteraktivní graf | Interaktivní graf

position vs time
speed and acceleration