🇳🇴 🇬🇧 🇩🇪 🇨🇿 🇫🇮

Meteor, poloha: Aursmoen 2025-09-21 19:11:26 UTC

Soubor KML  |  Interaktivní mapa

Mapa zobrazuje dráhy meteoru. Světlejší čáry ukazují směry od pozorovacích stanic při objevení se meteoru a tmavší čáry, kde byl naposledy viděn. Modrá šipka značí viditelnou dráhu meteoru.

static map
height profile
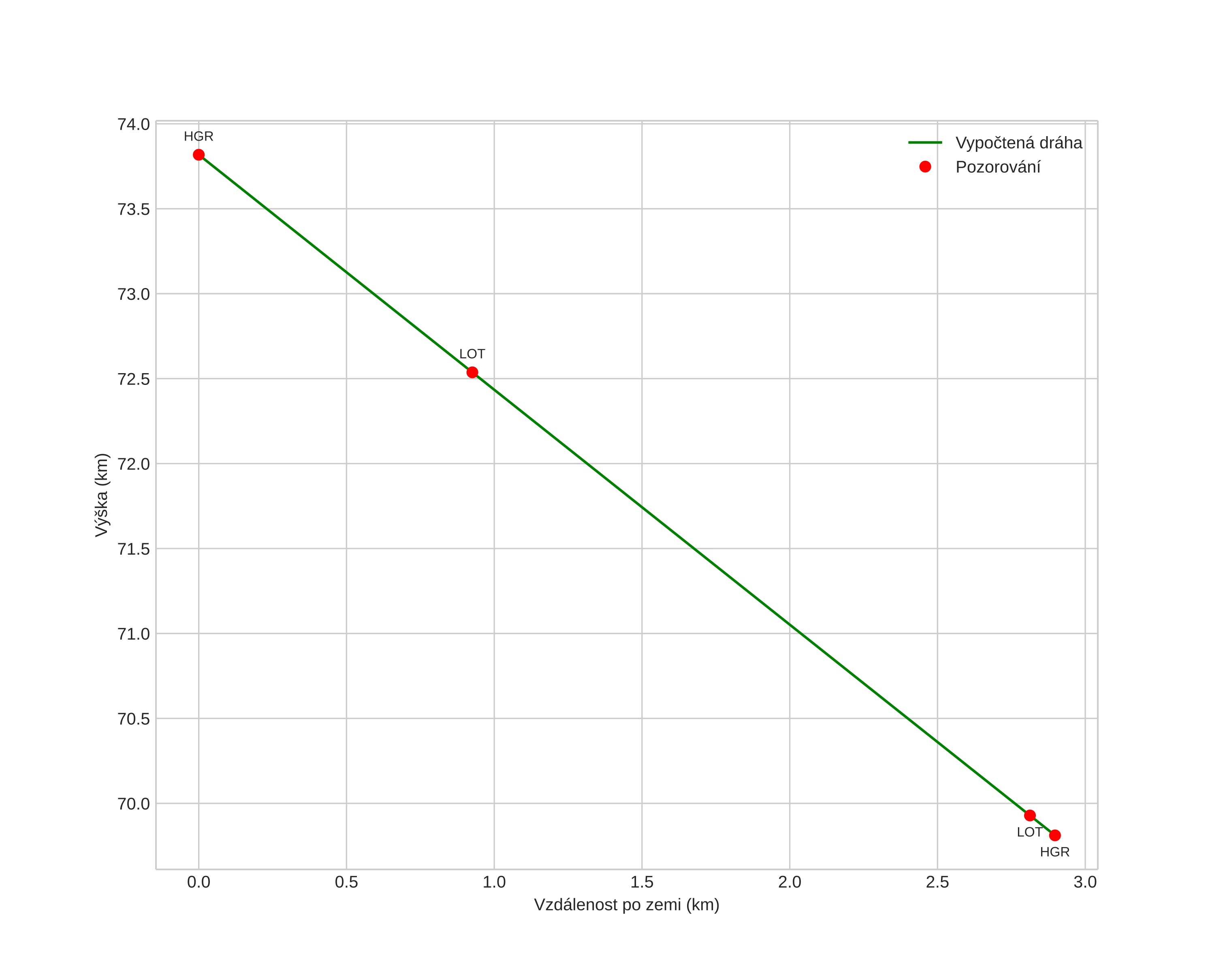
Atmosférická dráha meteoru:
Počáteční výška: 74,5 km
Konečná výška: 69,8 km
Počáteční poloha: 60,008N 11,540E
Konečná poloha: 59,990N 11,491E
Směr: 233,5°
Sklon: 54,1°
Vstupní rychlost: 11,0 km/s
position vs time
speed and acceleration