🇳🇴 🇬🇧 🇩🇪 🇨🇿 🇫🇮

Meteor, poloha: Stange 2025-09-22 20:06:07 UTC

Soubor KML  |  InteraktivnĂ­ mapa

Mapa zobrazuje dráhy meteoru. Světlejší čáry ukazují směry od pozorovacích stanic při objevení se meteoru a tmavší čáry, kde byl naposledy viděn. Modrá šipka značí viditelnou dráhu meteoru.

static map
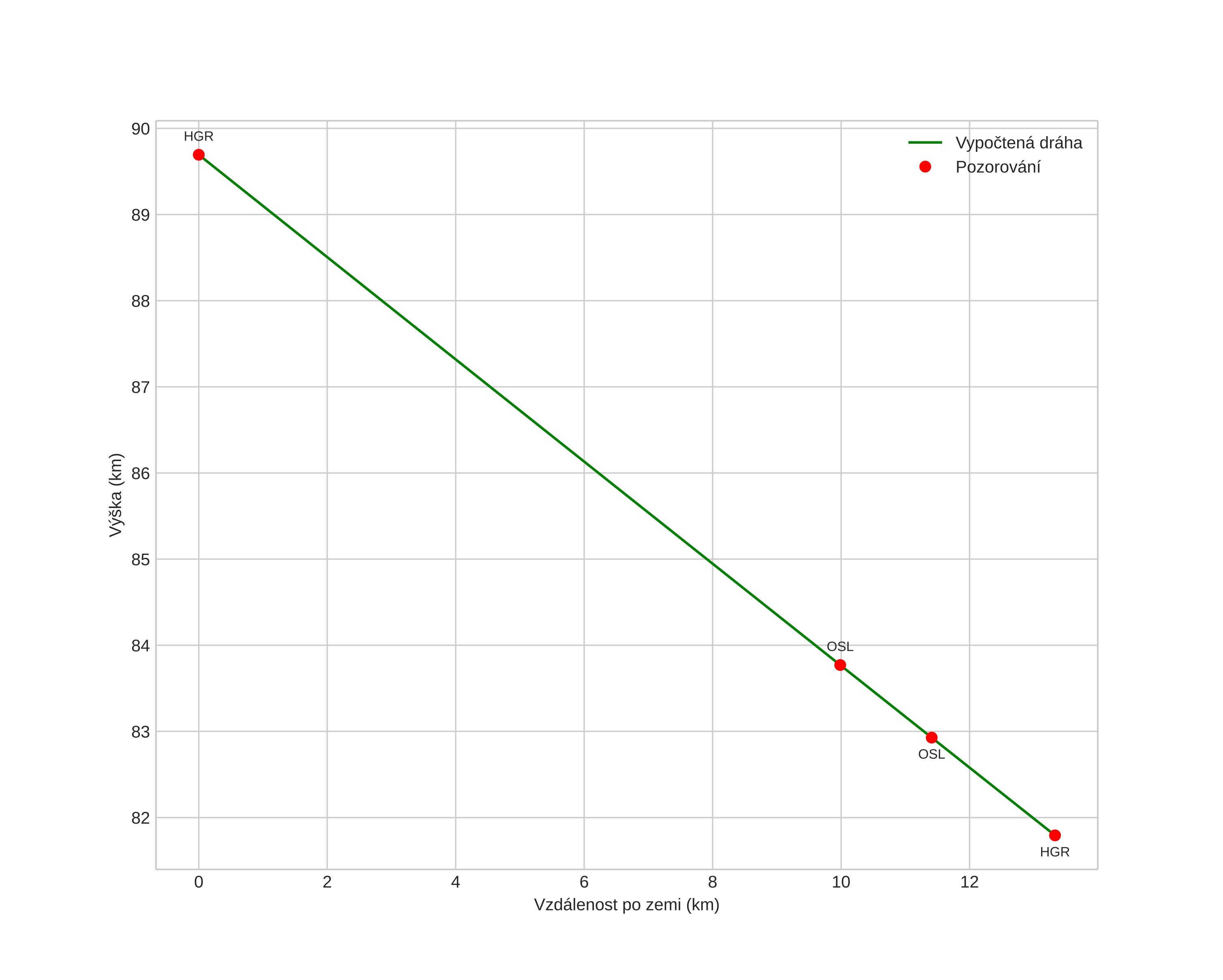
height profile
Atmosférická dráha meteoru:
Počáteční výška: 86,0 km
Konečná výška: 80,3 km
Počáteční poloha: 60,518N 11,189E
Konečná poloha: 60,626N 11,291E
Směr: 24,8°
Sklon: 23,3°
VstupnĂ­ rychlost: 13,9 km/s
Rektascenze radiantu: 19:05 (286,5°)
Deklinace radiantu: -21,6°
MeteorickĂ˝ roj: sporadickĂ˝
Elementy dráhy meteoroidu:
Vzdálenost v periheliu: 0,997 AU
Excentricita: 0,635
Sklon dráhy: 0,2°
Délka vzestupného uzlu: 179,7°
Argument perihelia: 190,8°
Střední anomálie: 358,1°
Epocha: 2025 SEP 22 20:06:07
orbit plot

NeinteraktivnĂ­ graf | InteraktivnĂ­ graf

position vs time
speed and acceleration

Hagar (HGR) cam7


gnomonic
Videa
• Gnomonická
• Gnomonická se souřadnicemi
• Původní
• Původní se souřadnicemi
Obrázky
• Gnomonická
• Gnomonická se souřadnicemi
• Původní
• Původní se souřadnicemi
Textové soubory
• Detekce
• Pozorování
• Souřadnice
• Protokol
Jasnost

Voksenlia (OSL) cam5


gnomonic
Videa
• Gnomonická
• Gnomonická se souřadnicemi
• Původní
• Původní se souřadnicemi
Obrázky
• Gnomonická
• Gnomonická se souřadnicemi
• Původní
• Původní se souřadnicemi
Textové soubory
• Detekce
• Pozorování
• Souřadnice
• Protokol
Jasnost