🇳🇴 🇬🇧 🇩🇪 🇨🇿 🇫🇮

Meteor Lampelandin yllä 2025-09-22 22:40:55 UTC

KML-tiedosto  |  Interaktiivinen kartta

Kartta näyttää meteorin suuntahavainnot. Vaaleammat viivat näyttävät suunnat havaintoasemilta meteorin ilmestyessä, ja tummemmat viivat näyttävät, missä se viimeksi nähtiin. Sininen nuoli näyttää meteorin näkyvän lennon.

static map
height profile
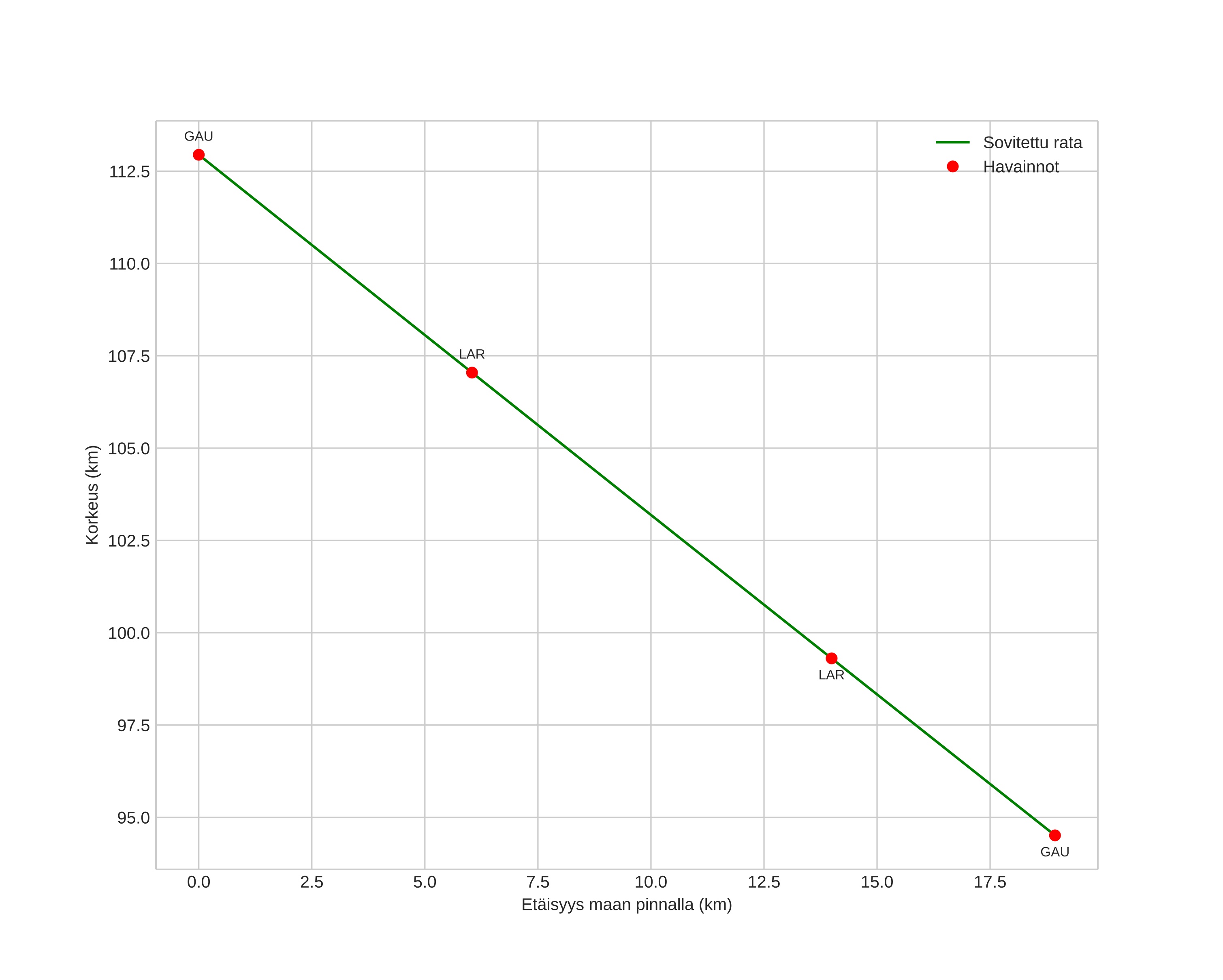
Meteorin ilmakehärata:
Alkukorkeus: 111,9 km
Loppukorkeus: 94,0 km
Alkupiste: 59,813N 9,766E
Loppupiste: 59,789N 9,438E
Suunta: 262,0°
Kallistuskulma: 44,0°
Tulonopeus: 63,8 km/s
Radiantin R,A,: 04:05 (61,4°)
Radiantin Dekl,: 40,3°
Meteoriparvi: Sporadinen
Meteoroidin rataelementit:
Perihelietäisyys: 0,635 AU
Eksentrisyys: 0,865
Inklinaatio: 140,6°
Nousevan solmun pituus: 179,8°
Perihelin argumentti: 257,9°
Keskianomalia: 356,1°
Epookki: 2025 SEP 22 22:40:55
orbit plot

Ei-interaktiivinen kuvaaja | Interaktiivinen kuvaaja

position vs time
speed and acceleration

Gaustatoppen (GAU) cam7


gnomonic
Videot:
• Gnomoninen
• Gnomoninen koordinaateilla
• Alkuperäinen
• Alkuperäinen koordinaateilla
Kuvat:
• Gnomoninen
• Gnomoninen koordinaateilla
• Alkuperäinen
• Alkuperäinen koordinaateilla
Tekstitiedostot:
• Havaintoraportti
• Observaatio
• Koordinaatit
• Loki
Kirkkaus

Larvik (LAR) cam6


gnomonic
Videot:
• Gnomoninen
• Gnomoninen koordinaateilla
• Alkuperäinen
• Alkuperäinen koordinaateilla
Kuvat:
• Gnomoninen
• Gnomoninen koordinaateilla
• Alkuperäinen
• Alkuperäinen koordinaateilla
Tekstitiedostot:
• Havaintoraportti
• Observaatio
• Koordinaatit
• Loki
Kirkkaus