🇳🇴 🇬🇧 🇩🇪 🇨🇿 🇫🇮

Meteor, poloha: Rättvik 2025-09-23 00:47:23 UTC

Soubor KML  |  Interaktivní mapa

Mapa zobrazuje dráhy meteoru. Světlejší čáry ukazují směry od pozorovacích stanic při objevení se meteoru a tmavší čáry, kde byl naposledy viděn. Modrá šipka značí viditelnou dráhu meteoru.

static map
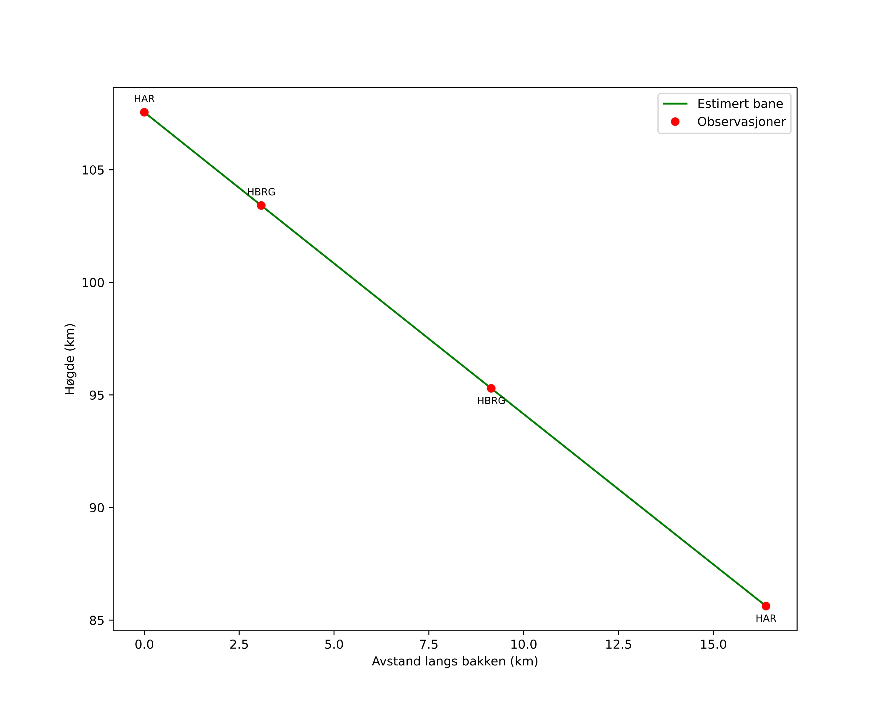
height profile
Atmosférická dráha meteoru:
Počáteční výška: 108,8 km
Konečná výška: 87,2 km
Počáteční poloha: 60,966N 15,469E
Konečná poloha: 60,971N 15,174E
Směr: 272,2°
Sklon: 53,6°
Vstupní rychlost: 73,0 km/s
Rektascenze radiantu: 05:36 (84,1°)
Deklinace radiantu: 43,7°
Meteorický roj: sporadický
Elementy dráhy meteoroidu:
Vzdálenost v periheliu: 0,990 AU
Excentricita: 1,344
Sklon dráhy: 146,4°
Délka vzestupného uzlu: 179,9°
Argument perihelia: 192,6°
Střední anomálie: -1,7°
Epocha: 2025 SEP 23 00:47:23
orbit plot

Neinteraktivní graf | Interaktivní graf

position vs time
speed and acceleration