🇳🇴 🇬🇧 🇩🇪 🇨🇿 🇫🇮

Meteor über Rättvik 2025-09-23 00:47:23 UTC

KML-Datei  |  Interaktive Karte

Die Karte zeigt die Peilungen für den Meteor. Die helleren Linien zeigen die Richtungen von den Beobachtungsorten beim Erscheinen des Meteors, und die dunkleren Linien, wo er zuletzt gesehen wurde. Der blaue Pfeil zeigt die sichtbare Bahn des Meteors.

static map
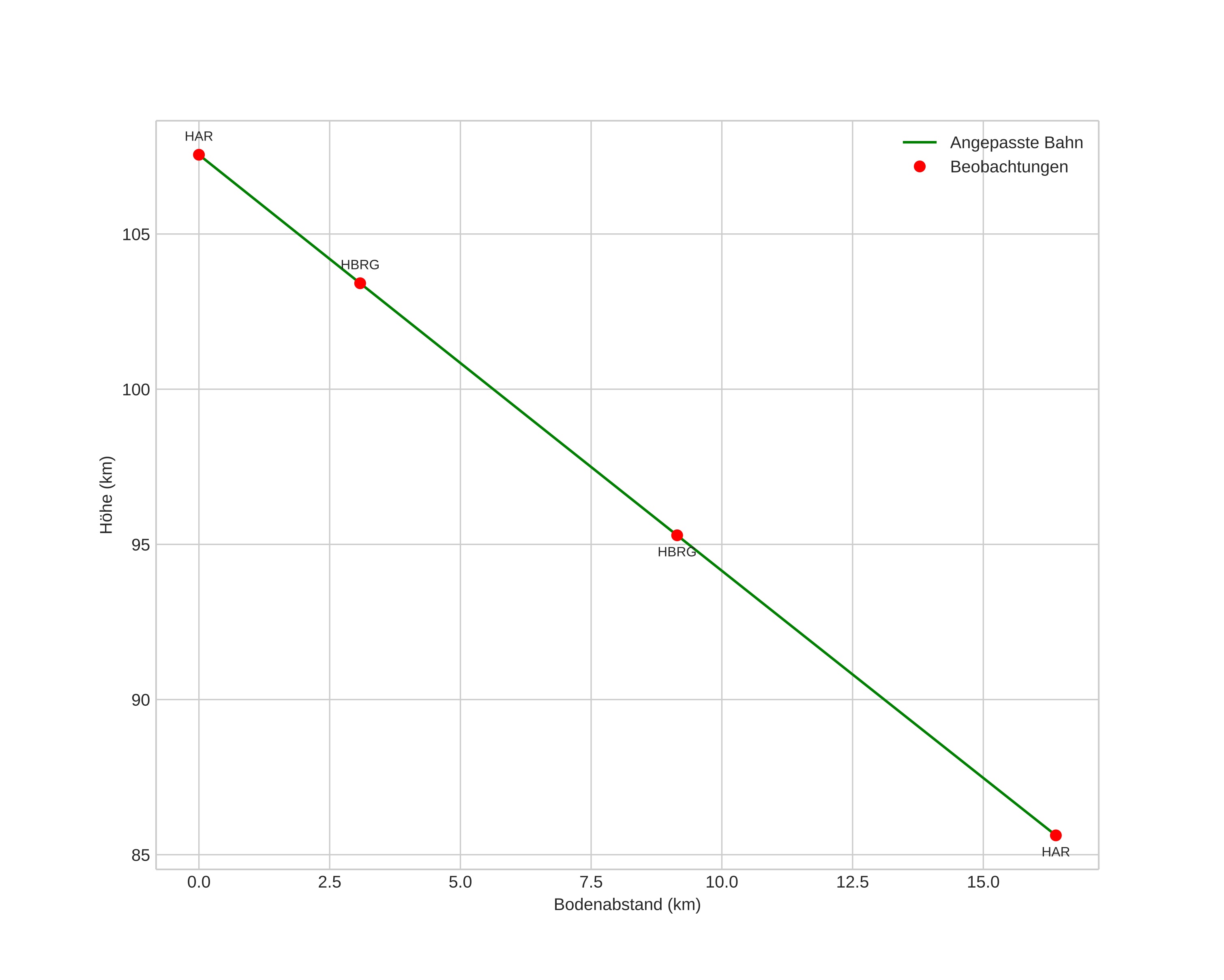
height profile
Atmosphärische Bahn des Meteors:
Anfangshöhe: 108,8 km
Endhöhe: 87,2 km
Startposition: 60,966N 15,469E
Endposition: 60,971N 15,174E
Richtung: 272,2°
Neigungswinkel: 53,6°
Eintrittsgeschwindigkeit: 73,0 km/s
Rektaszension des Radianten: 05:36 (84,1°)
Deklination des Radianten: 43,7°
Meteorstrom: sporadisch
Bahnelemente des Meteoroiden:
Periheldistanz: 0,990 AU
Exzentrizität: 1,344
Inklination: 146,4°
Länge des aufsteigenden Knotens: 179,9°
Argument des Perihels: 192,6°
Mittlere Anomalie: -1,7°
Epoche: 2025 SEP 23 00:47:23
orbit plot

Nicht-interaktives Diagramm | Interaktives Diagramm

position vs time
speed and acceleration

Harestua (HAR) cam2


gnomonic
Videos
• Gnomonisch
• Gnomonisch mit Koordinaten
• Original
• Original mit Koordinaten
Bilder
• Gnomonisch
• Gnomonisch mit Koordinaten
• Original
• Original mit Koordinaten
Textdateien
• Erkennung
• Beobachtung
• Koordinaten
• Protokoll
Helligkeit