🇳🇴 🇬🇧 🇩🇪 🇨🇿 🇫🇮

Meteor over Mjölby 2025-09-23 02:42:44 UTC

KML-fil  |  Interaktivt kart

Kartet viser peilingene for meteoren. De lysere linjene viser retningene fra observasjonsstedene for meteorens tilsynekomst, og de mørkere linjene viser hvor den sist kunne sees. Den blå pila viser meteorens synlige ferd.

static map
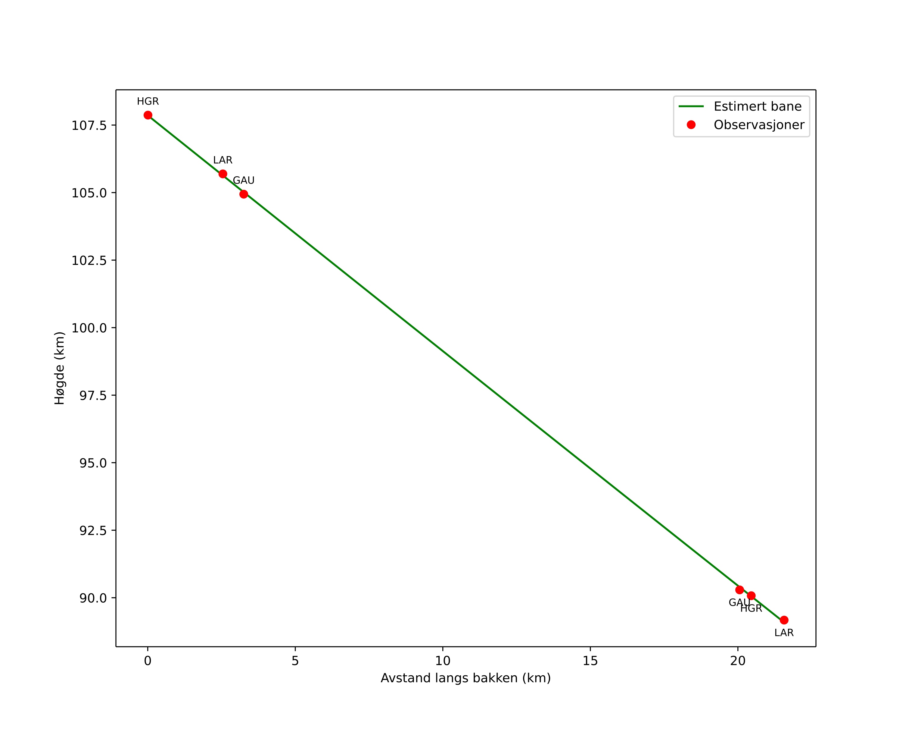
height profile
Meteorens atmosfæriske bane:
Starthøgde: 108,6 km
Slutthøgde: 88,7 km
Startposisjon: 58,338N 15,534E
Sluttposisjon: 58,246N 15,183E
Retning: 243,9°
Fallvinkel: 41,0°
Inngangshastighet: 68,6 km/s
Radiantens rektascensjon: 09:31 (142,9°)
Radiantens deklinasjon: 47,1°
Meteorsverm: sporadisk
Meteoroidens baneelement:
Perihelavstand: 0,606 AU
Eksentrisitet: 1,653
Inklinasjon: 114,1°
Knutelengde: 180,0°
Perihelargument: 111,4°
Midlere anomali: 32,1°
Epoke: 2025 SEP 23 02:42:44
orbit plot

Ikke-interaktivt plott | Interaktivt plott

position vs time
speed and acceleration

Gaustatoppen (GAU) cam3


gnomonic
Videoer
• Gnomonisk
• Gnomonisk med koordinater
• Original
• Original med koordinater
Bilder
• Gnomonisk
• Gnomonisk med koordinater
• Original
• Original med koordinater
Tekstfiler
• Deteksjon
• Observasjon
• Koordinater
• Logg
Lysstyrke

Hagar (HGR) cam4


gnomonic
Videoer
• Gnomonisk
• Gnomonisk med koordinater
• Original
• Original med koordinater
Bilder
• Gnomonisk
• Gnomonisk med koordinater
• Original
• Original med koordinater
Tekstfiler
• Deteksjon
• Observasjon
• Koordinater
• Logg
Lysstyrke

Larvik (LAR) cam3


gnomonic
Videoer
• Gnomonisk
• Gnomonisk med koordinater
• Original
• Original med koordinater
Bilder
• Gnomonisk
• Gnomonisk med koordinater
• Original
• Original med koordinater
Tekstfiler
• Deteksjon
• Observasjon
• Koordinater
• Logg
Lysstyrke