🇳🇴 🇬🇧 🇩🇪 🇨🇿 🇫🇮

Meteor über Lysekil 2025-09-23 02:45:07 UTC

KML-Datei  |  Interaktive Karte

Die Karte zeigt die Peilungen für den Meteor. Die helleren Linien zeigen die Richtungen von den Beobachtungsorten beim Erscheinen des Meteors, und die dunkleren Linien, wo er zuletzt gesehen wurde. Der blaue Pfeil zeigt die sichtbare Bahn des Meteors.

static map
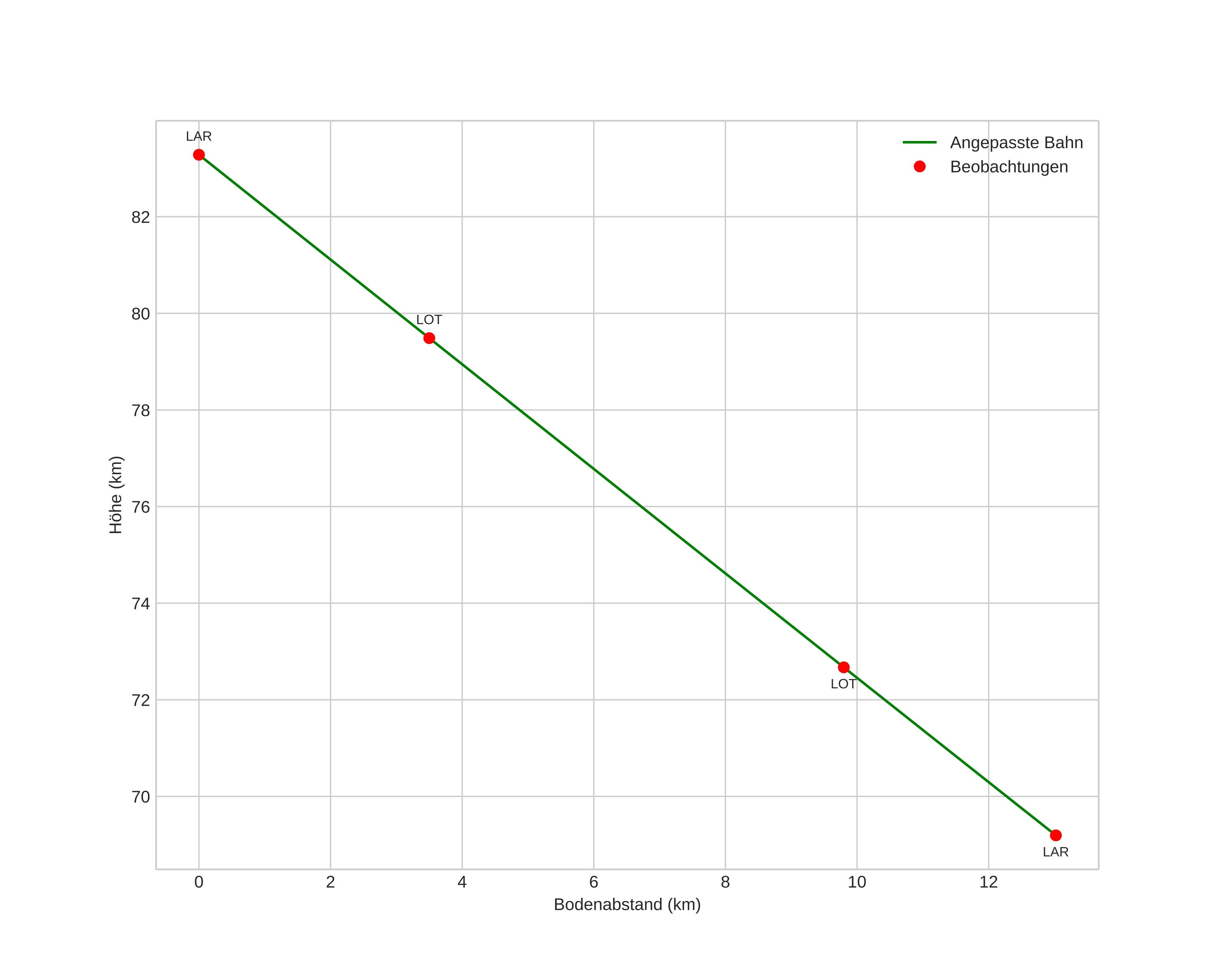
height profile
Atmosphärische Bahn des Meteors:
Anfangshöhe: 83,4 km
Endhöhe: 69,2 km
Startposition: 58,424N 11,318E
Endposition: 58,325N 11,435E
Richtung: 147,9°
Neigungswinkel: 47,8°
Eintrittsgeschwindigkeit: 26,7 km/s
Rektaszension des Radianten: 20:24 (306,1°)
Deklination des Radianten: 66,3°
Meteorstrom: sporadisch
Bahnelemente des Meteoroiden:
Periheldistanz: 0,965 AU
Exzentrizität: 0,585
Inklination: 40,1°
Länge des aufsteigenden Knotens: 180,0°
Argument des Perihels: 206,4°
Mittlere Anomalie: 354,3°
Epoche: 2025 SEP 23 02:45:07
orbit plot

Nicht-interaktives Diagramm | Interaktives Diagramm

position vs time
speed and acceleration

Larvik (LAR) cam3


gnomonic
Videos
• Gnomonisch
• Gnomonisch mit Koordinaten
• Original
• Original mit Koordinaten
Bilder
• Gnomonisch
• Gnomonisch mit Koordinaten
• Original
• Original mit Koordinaten
Textdateien
• Erkennung
• Beobachtung
• Koordinaten
• Protokoll
Helligkeit

Loten (LOT) cam4


gnomonic
Videos
• Gnomonisch
• Gnomonisch mit Koordinaten
• Original
• Original mit Koordinaten
Bilder
• Gnomonisch
• Gnomonisch mit Koordinaten
• Original
• Original mit Koordinaten
Textdateien
• Erkennung
• Beobachtung
• Koordinaten
• Protokoll
Helligkeit