🇳🇴 🇬🇧 🇩🇪 🇨🇿 🇫🇮

Meteor, poloha: Nesbyen 2025-09-23 21:59:46 UTC

Soubor KML  |  Interaktivní mapa

Mapa zobrazuje dráhy meteoru. Světlejší čáry ukazují směry od pozorovacích stanic při objevení se meteoru a tmavší čáry, kde byl naposledy viděn. Modrá šipka značí viditelnou dráhu meteoru.

static map
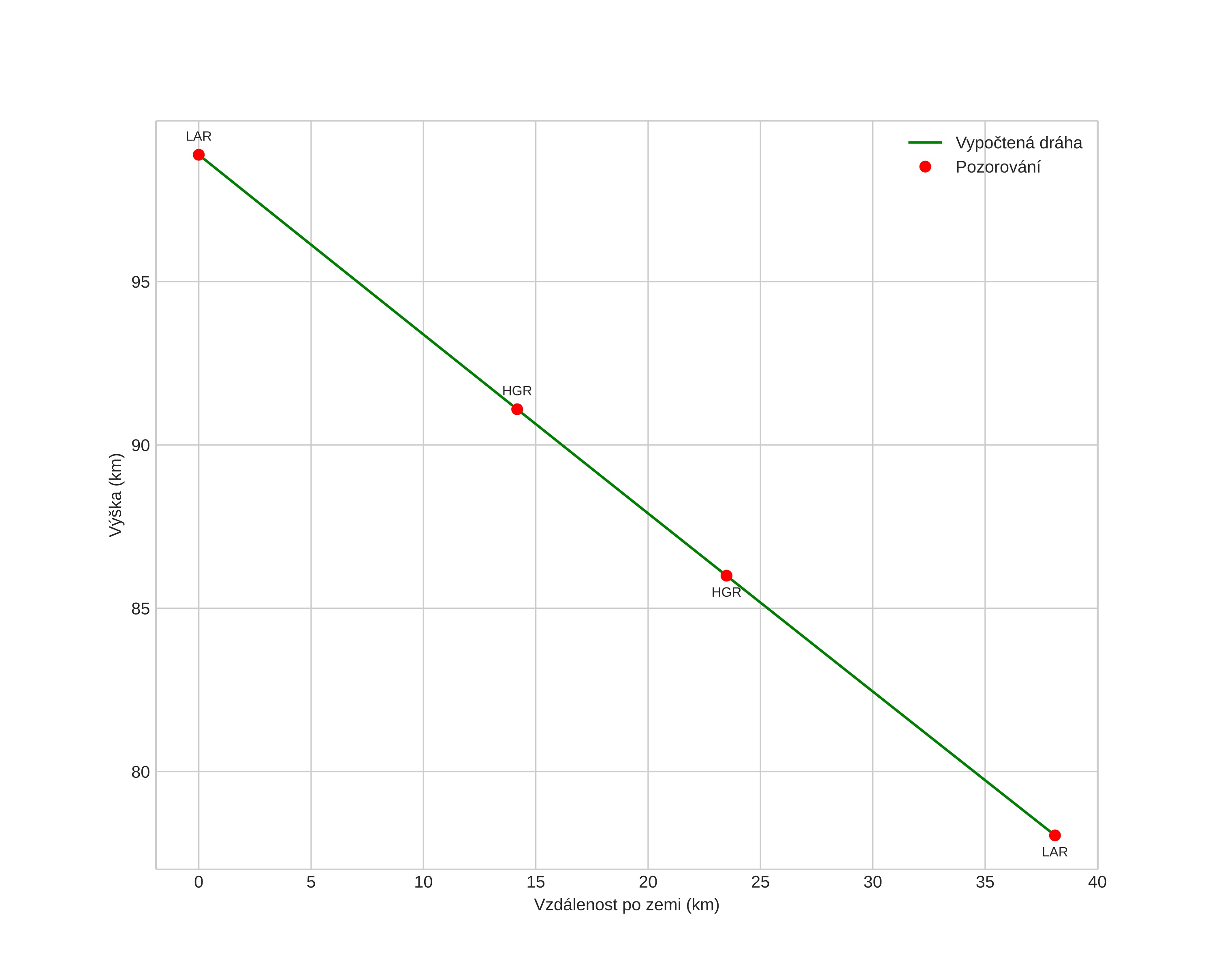
height profile
Atmosférická dráha meteoru:
Počáteční výška: 92,4 km
Konečná výška: 81,2 km
Počáteční poloha: 60,512N 9,348E
Konečná poloha: 60,642N 9,082E
Směr: 315,0°
Sklon: 28,7°
Vstupní rychlost: 28,0 km/s
Rektascenze radiantu: 01:24 (21,2°)
Deklinace radiantu: 3,6°
Meteorický roj: Jižní Tauridy
Elementy dráhy meteoroidu:
Vzdálenost v periheliu: 0,286 AU
Excentricita: 0,764
Sklon dráhy: 6,0°
Délka vzestupného uzlu: 0,8°
Argument perihelia: 130,6°
Střední anomálie: 325,7°
Epocha: 2025 SEP 23 21:59:46
orbit plot

Neinteraktivní graf | Interaktivní graf

position vs time
speed and acceleration