🇳🇴 🇬🇧 🇩🇪 🇨🇿 🇫🇮

Meteor Vansbron yllä 2025-09-24 20:52:47 UTC

KML-tiedosto  |  Interaktiivinen kartta

Kartta näyttää meteorin suuntahavainnot. Vaaleammat viivat näyttävät suunnat havaintoasemilta meteorin ilmestyessä, ja tummemmat viivat näyttävät, missä se viimeksi nähtiin. Sininen nuoli näyttää meteorin näkyvän lennon.

static map
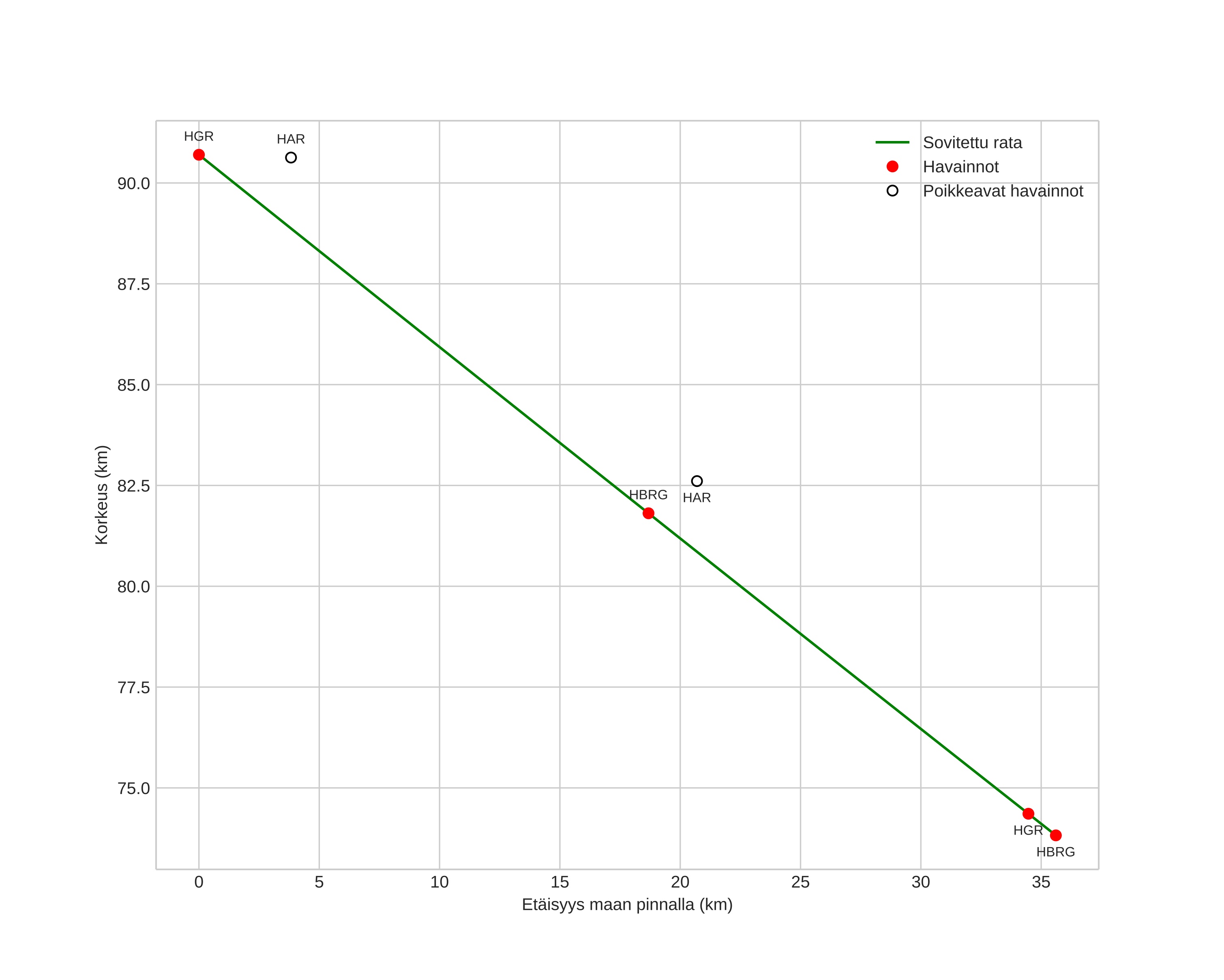
height profile
Meteorin ilmakehärata:
Alkukorkeus: 91,1 km
Loppukorkeus: 77,7 km
Alkupiste: 60,095N 13,546E
Loppupiste: 60,269N 13,972E
Suunta: 50,5°
Kallistuskulma: 23,8°
Tulonopeus: 16,0 km/s
Radiantin R,A,: 18:40 (280,1°)
Radiantin Dekl,: -7,5°
Meteoriparvi: Sporadinen
Meteoroidin rataelementit:
Perihelietäisyys: 1,000 AU
Eksentrisyys: 0,912
Inklinaatio: 4,4°
Nousevan solmun pituus: 181,7°
Perihelin argumentti: 186,4°
Keskianomalia: 359,9°
Epookki: 2025 SEP 24 20:52:47
orbit plot

Ei-interaktiivinen kuvaaja | Interaktiivinen kuvaaja

position vs time
speed and acceleration

Hagar (HGR) cam3


gnomonic
Videot:
• Gnomoninen
• Gnomoninen koordinaateilla
• Alkuperäinen
• Alkuperäinen koordinaateilla
Kuvat:
• Gnomoninen
• Gnomoninen koordinaateilla
• Alkuperäinen
• Alkuperäinen koordinaateilla
Tekstitiedostot:
• Havaintoraportti
• Observaatio
• Koordinaatit
• Loki
Kirkkaus

Harestua (HAR) cam2


gnomonic
Videot:
• Gnomoninen
• Gnomoninen koordinaateilla
• Alkuperäinen
• Alkuperäinen koordinaateilla
Kuvat:
• Gnomoninen
• Gnomoninen koordinaateilla
• Alkuperäinen
• Alkuperäinen koordinaateilla
Tekstitiedostot:
• Havaintoraportti
• Observaatio
• Koordinaatit
• Loki
Kirkkaus