🇳🇴 🇬🇧 🇩🇪 🇨🇿 🇫🇮

Meteor, poloha: Borlänge 2025-09-24 20:58:46 UTC

Soubor KML  |  Interaktivní mapa

Mapa zobrazuje dráhy meteoru. Světlejší čáry ukazují směry od pozorovacích stanic při objevení se meteoru a tmavší čáry, kde byl naposledy viděn. Modrá šipka značí viditelnou dráhu meteoru.

static map
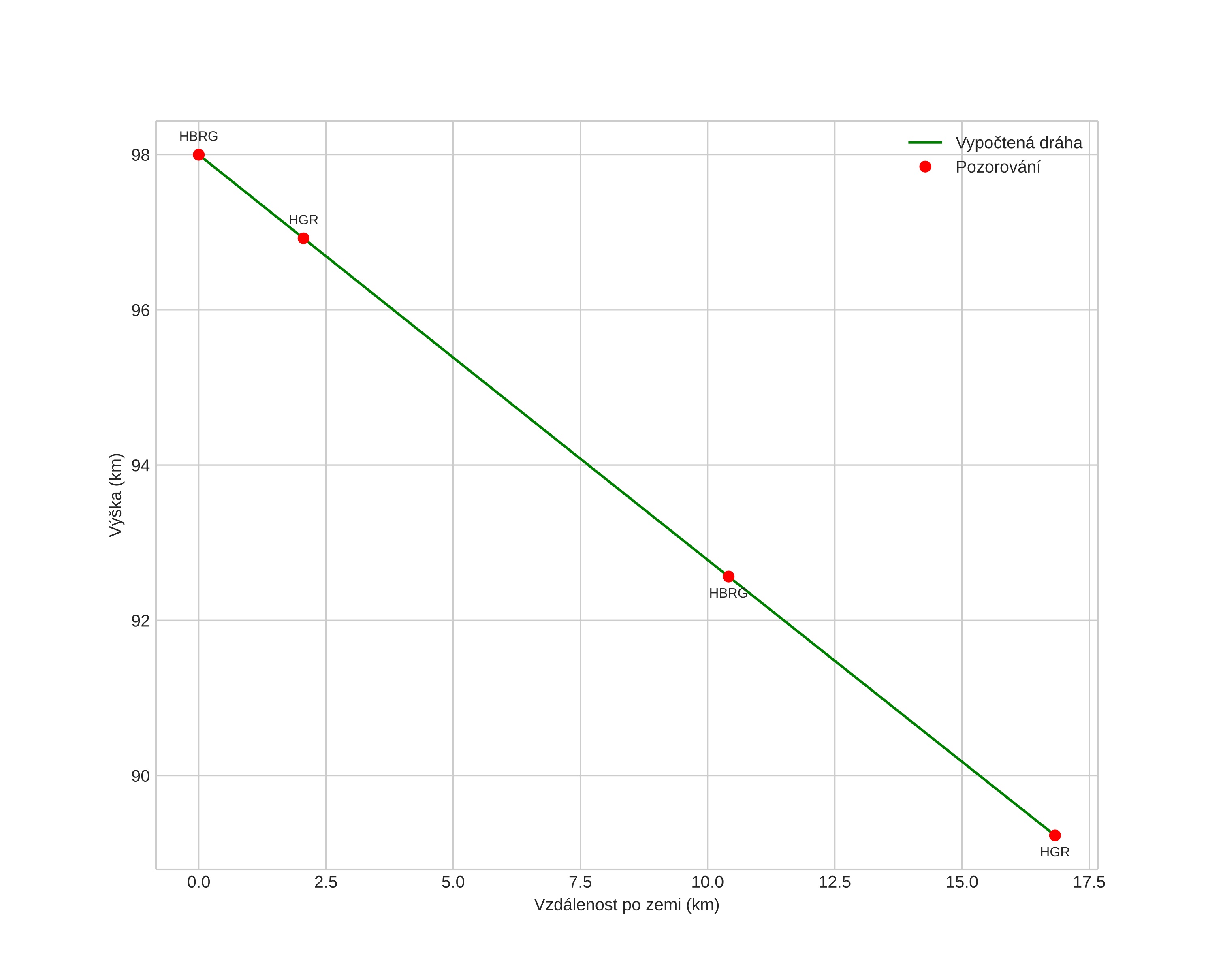
height profile
Atmosférická dráha meteoru:
Počáteční výška: 98,0 km
Konečná výška: 88,8 km
Počáteční poloha: 60,501N 15,506E
Konečná poloha: 60,386N 15,286E
Směr: 223,6°
Sklon: 27,7°
Vstupní rychlost: 68,2 km/s
Rektascenze radiantu: 06:09 (92,3°)
Deklinace radiantu: 45,8°
Meteorický roj: sporadický
Elementy dráhy meteoroidu:
Vzdálenost v periheliu: 1,003 AU
Excentricita: 0,922
Sklon dráhy: 141,7°
Délka vzestupného uzlu: 181,7°
Argument perihelia: 181,3°
Střední anomálie: 360,0°
Epocha: 2025 SEP 24 20:58:46
orbit plot

Neinteraktivní graf | Interaktivní graf

position vs time
speed and acceleration