🇳🇴 🇬🇧 🇩🇪 🇨🇿 🇫🇮

Meteor Skoghallin yllä 2025-09-24 21:08:43 UTC

KML-tiedosto  |  Interaktiivinen kartta

Kartta näyttää meteorin suuntahavainnot. Vaaleammat viivat näyttävät suunnat havaintoasemilta meteorin ilmestyessä, ja tummemmat viivat näyttävät, missä se viimeksi nähtiin. Sininen nuoli näyttää meteorin näkyvän lennon.

static map
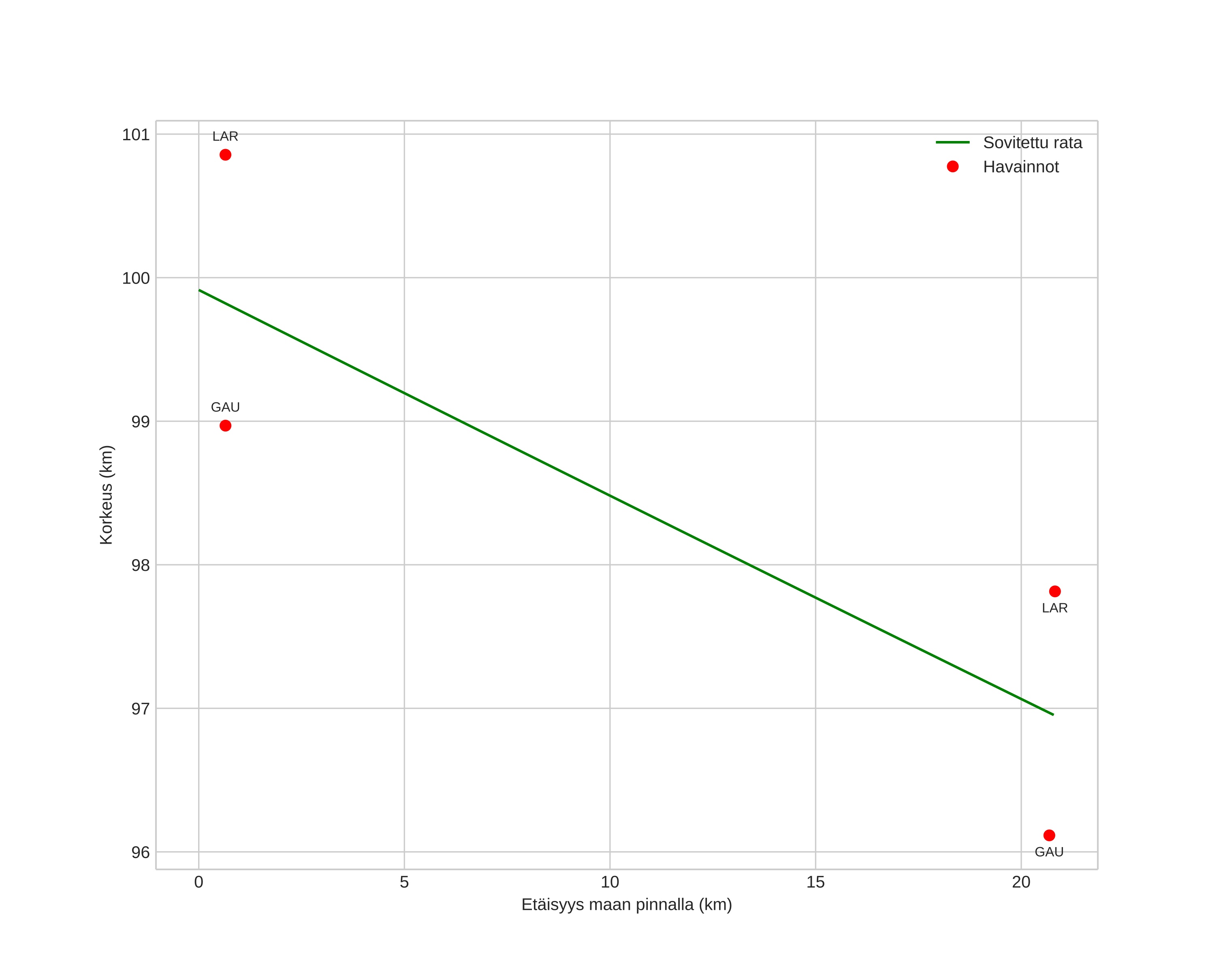
height profile
Meteorin ilmakehärata:
Alkukorkeus: 103,4 km
Loppukorkeus: 95,8 km
Alkupiste: 59,386N 13,315E
Loppupiste: 59,223N 13,364E
Suunta: 171,4°
Kallistuskulma: 22,4°
Tulonopeus: 43,3 km/s
Radiantin R,A,: 11:09 (167,4°)
Radiantin Dekl,: 51,4°
Meteoriparvi: Sporadinen
Meteoroidin rataelementit:
Perihelietäisyys: 0,550 AU
Eksentrisyys: 0,823
Inklinaatio: 68,9°
Nousevan solmun pituus: 181,7°
Perihelin argumentti: 90,0°
Keskianomalia: 7,8°
Epookki: 2025 SEP 24 21:08:43
orbit plot

Ei-interaktiivinen kuvaaja | Interaktiivinen kuvaaja

position vs time
speed and acceleration

Gaustatoppen (GAU) cam3


gnomonic
Videot:
• Gnomoninen
• Gnomoninen koordinaateilla
• Alkuperäinen
• Alkuperäinen koordinaateilla
Kuvat:
• Gnomoninen
• Gnomoninen koordinaateilla
• Alkuperäinen
• Alkuperäinen koordinaateilla
Tekstitiedostot:
• Havaintoraportti
• Observaatio
• Koordinaatit
• Loki
Kirkkaus

Larvik (LAR) cam2


gnomonic
Videot:
• Gnomoninen
• Gnomoninen koordinaateilla
• Alkuperäinen
• Alkuperäinen koordinaateilla
Kuvat:
• Gnomoninen
• Gnomoninen koordinaateilla
• Alkuperäinen
• Alkuperäinen koordinaateilla
Tekstitiedostot:
• Havaintoraportti
• Observaatio
• Koordinaatit
• Loki
Kirkkaus