🇳🇴 🇬🇧 🇩🇪 🇨🇿 🇫🇮

Meteor Lystrupin yllä 2025-09-25 02:48:07 UTC

KML-tiedosto  |  Interaktiivinen kartta

Kartta näyttää meteorin suuntahavainnot. Vaaleammat viivat näyttävät suunnat havaintoasemilta meteorin ilmestyessä, ja tummemmat viivat näyttävät, missä se viimeksi nähtiin. Sininen nuoli näyttää meteorin näkyvän lennon.

static map
height profile
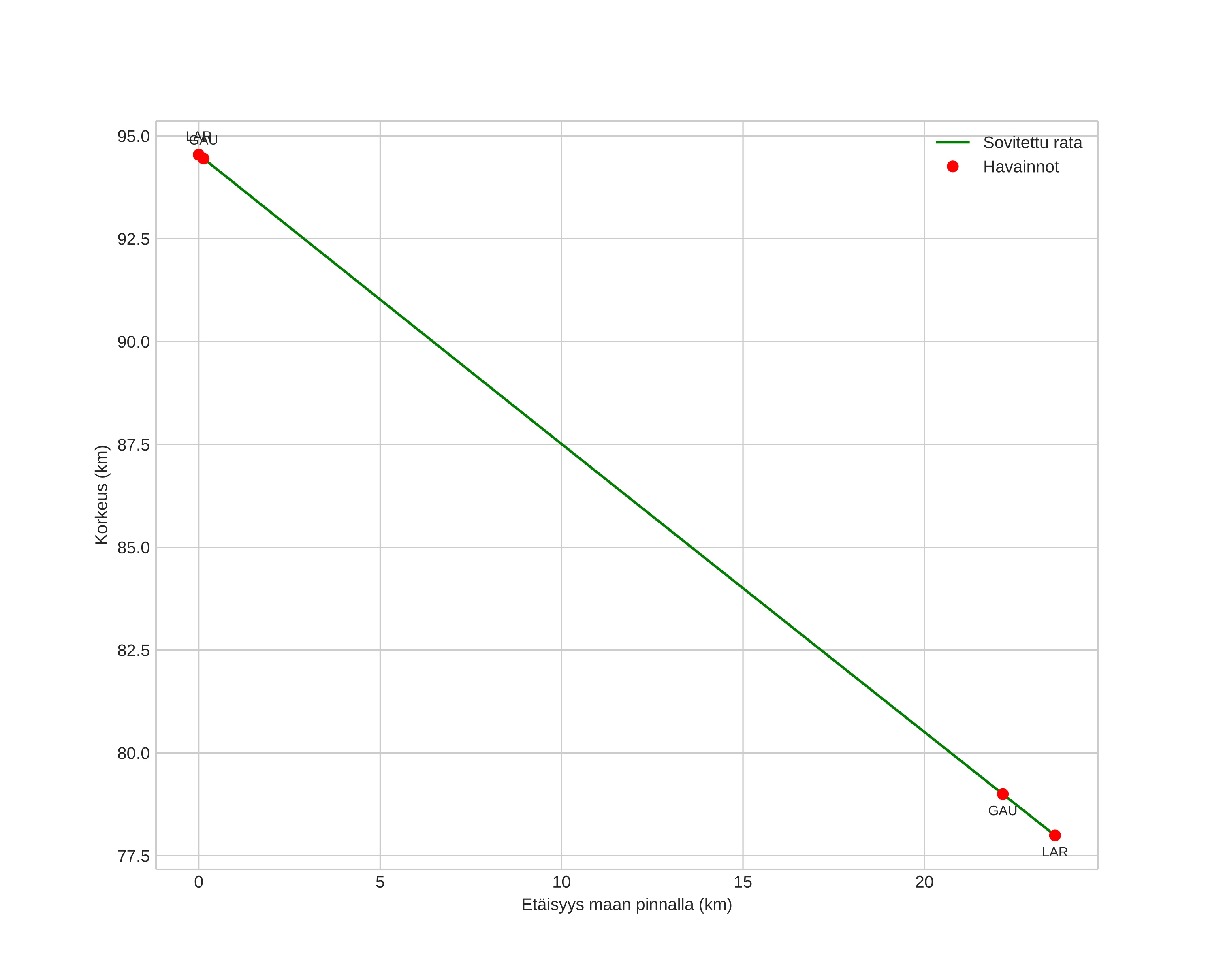
Meteorin ilmakehärata:
Alkukorkeus: 96,3 km
Loppukorkeus: 78,3 km
Alkupiste: 56,334N 10,141E
Loppupiste: 56,498N 10,427E
Suunta: 43,9°
Kallistuskulma: 35,4°
Tulonopeus: 38,6 km/s
Radiantin R,A,: 01:21 (20,3°)
Radiantin Dekl,: 7,7°
Meteoriparvi: Sporadinen
Meteoroidin rataelementit:
Perihelietäisyys: 0,172 AU
Eksentrisyys: 0,959
Inklinaatio: 1,8°
Nousevan solmun pituus: 2,0°
Perihelin argumentti: 133,9°
Keskianomalia: 355,9°
Epookki: 2025 SEP 25 02:48:07
orbit plot

Ei-interaktiivinen kuvaaja | Interaktiivinen kuvaaja

position vs time
speed and acceleration

Gaustatoppen (GAU) cam3


gnomonic
Videot:
• Gnomoninen
• Gnomoninen koordinaateilla
• Alkuperäinen
• Alkuperäinen koordinaateilla
Kuvat:
• Gnomoninen
• Gnomoninen koordinaateilla
• Alkuperäinen
• Alkuperäinen koordinaateilla
Tekstitiedostot:
• Havaintoraportti
• Observaatio
• Koordinaatit
• Loki
Kirkkaus

Larvik (LAR) cam4


gnomonic
Videot:
• Gnomoninen
• Gnomoninen koordinaateilla
• Alkuperäinen
• Alkuperäinen koordinaateilla
Kuvat:
• Gnomoninen
• Gnomoninen koordinaateilla
• Alkuperäinen
• Alkuperäinen koordinaateilla
Tekstitiedostot:
• Havaintoraportti
• Observaatio
• Koordinaatit
• Loki
Kirkkaus