🇳🇴 🇬🇧 🇩🇪 🇨🇿 🇫🇮

Meteor, poloha: Øystese 2025-09-25 20:54:27 UTC

Soubor KML  |  Interaktivní mapa

Mapa zobrazuje dráhy meteoru. Světlejší čáry ukazují směry od pozorovacích stanic při objevení se meteoru a tmavší čáry, kde byl naposledy viděn. Modrá šipka značí viditelnou dráhu meteoru.

static map
height profile
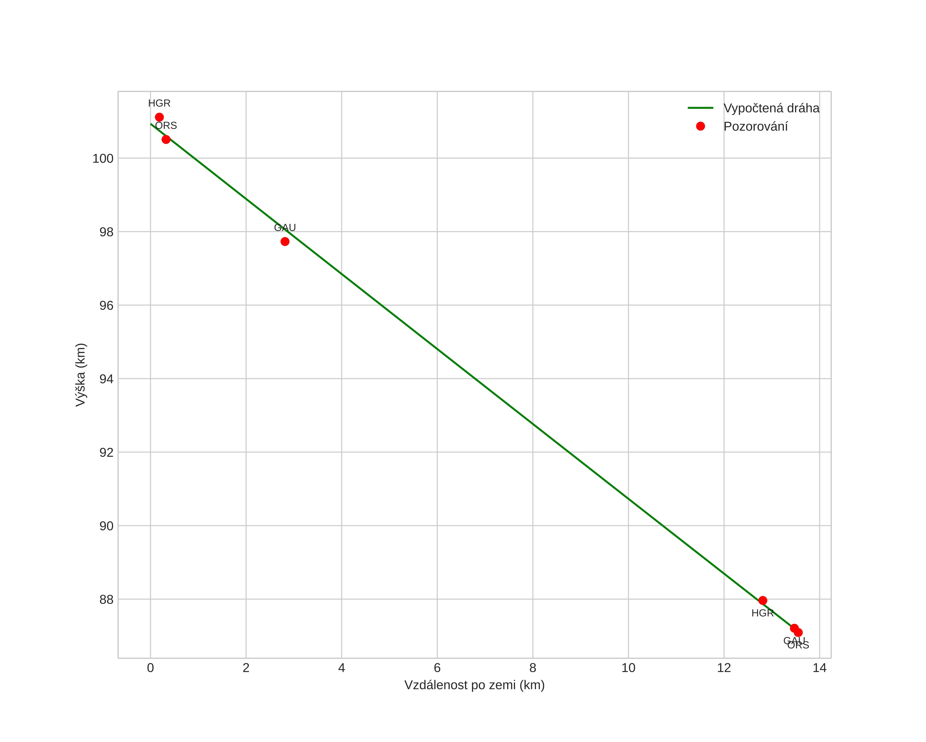
Atmosférická dráha meteoru:
Počáteční výška: 100,6 km
Konečná výška: 86,9 km
Počáteční poloha: 60,605N 6,010E
Konečná poloha: 60,516N 6,178E
Směr: 137,0°
Sklon: 45,4°
Vstupní rychlost: 34,0 km/s
Rektascenze radiantu: 14:45 (221,4°)
Deklinace radiantu: 59,5°
Meteorický roj: sporadický
Elementy dráhy meteoroidu:
Vzdálenost v periheliu: 0,928 AU
Excentricita: 1,041
Sklon dráhy: 46,8°
Délka vzestupného uzlu: 182,7°
Argument perihelia: 148,7°
Střední anomálie: 0,2°
Epocha: 2025 SEP 25 20:54:27
orbit plot

Neinteraktivní graf | Interaktivní graf

position vs time
speed and acceleration