🇳🇴 🇬🇧 🇩🇪 🇨🇿 🇫🇮

Meteor über Folldal 2025-09-25 21:09:55 UTC

KML-Datei  |  Interaktive Karte

Die Karte zeigt die Peilungen für den Meteor. Die helleren Linien zeigen die Richtungen von den Beobachtungsorten beim Erscheinen des Meteors, und die dunkleren Linien, wo er zuletzt gesehen wurde. Der blaue Pfeil zeigt die sichtbare Bahn des Meteors.

static map
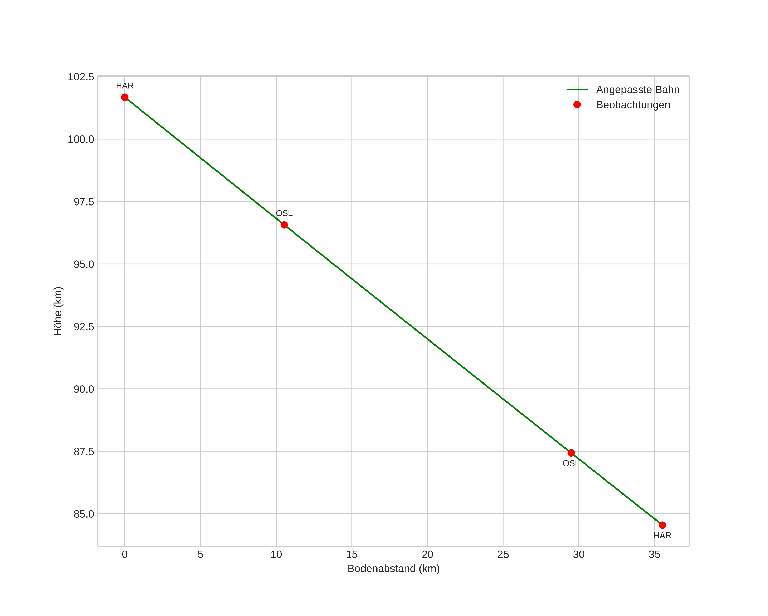
height profile
Atmosphärische Bahn des Meteors:
Anfangshöhe: 99,5 km
Endhöhe: 86,9 km
Startposition: 61,908N 10,380E
Endposition: 62,062N 10,036E
Richtung: 313,8°
Neigungswinkel: 26,9°
Eintrittsgeschwindigkeit: 39,0 km/s
Rektaszension des Radianten: 00:51 (12,9°)
Deklination des Radianten: 4,7°
Meteorstrom: sporadisch
Bahnelemente des Meteoroiden:
Periheldistanz: 0,285 AU
Exzentrizität: 1,036
Inklination: 1,3°
Länge des aufsteigenden Knotens: 2,7°
Argument des Perihels: 114,0°
Mittlere Anomalie: -1,6°
Epoche: 2025 SEP 25 21:09:55
orbit plot

Nicht-interaktives Diagramm | Interaktives Diagramm

position vs time
speed and acceleration

Harestua (HAR) cam1


gnomonic
Videos
• Gnomonisch
• Gnomonisch mit Koordinaten
• Original
• Original mit Koordinaten
Bilder
• Gnomonisch
• Gnomonisch mit Koordinaten
• Original
• Original mit Koordinaten
Textdateien
• Erkennung
• Beobachtung
• Koordinaten
• Protokoll
Helligkeit

Voksenlia (OSL) cam1


gnomonic
Videos
• Gnomonisch
• Gnomonisch mit Koordinaten
• Original
• Original mit Koordinaten
Bilder
• Gnomonisch
• Gnomonisch mit Koordinaten
• Original
• Original mit Koordinaten
Textdateien
• Erkennung
• Beobachtung
• Koordinaten
• Protokoll
Helligkeit