🇳🇴 🇬🇧 🇩🇪 🇨🇿 🇫🇮

Meteor, poloha: Gjøvik 2025-09-26 01:10:24 UTC

Soubor KML  |  Interaktivní mapa

Mapa zobrazuje dráhy meteoru. Světlejší čáry ukazují směry od pozorovacích stanic při objevení se meteoru a tmavší čáry, kde byl naposledy viděn. Modrá šipka značí viditelnou dráhu meteoru.

static map
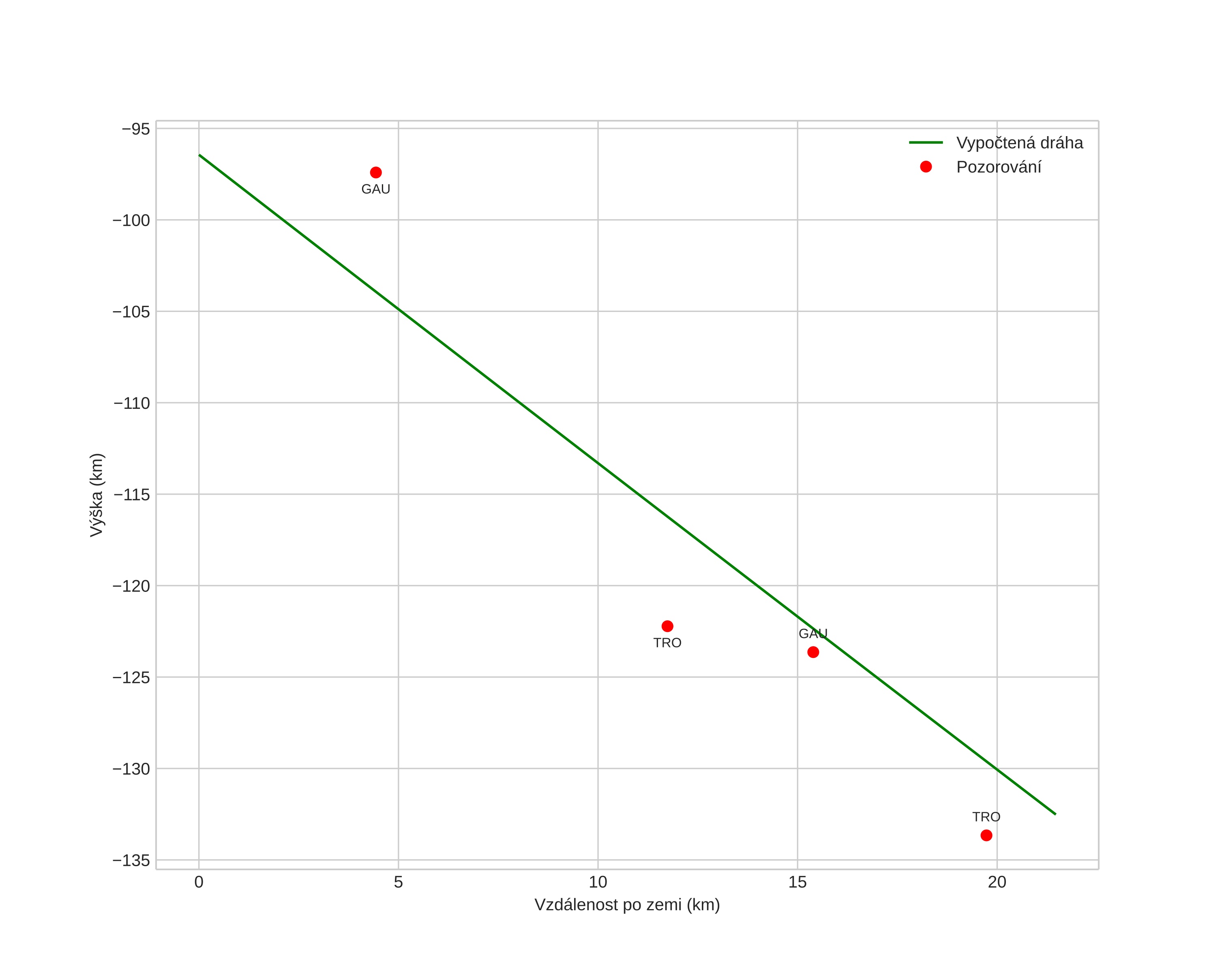
height profile
Atmosférická dráha meteoru:
Počáteční výška: -90,4 km
Konečná výška: -135,2 km
Počáteční poloha: 60,644N 10,532E
Konečná poloha: 60,814N 10,805E
Směr: 38,1°
Sklon: 61,8°
Vstupní rychlost: 8,0 km/s
position vs time
speed and acceleration