🇳🇴 🇬🇧 🇩🇪 🇨🇿 🇫🇮

Meteor Smögenin yllä 2025-09-26 01:14:28 UTC

KML-tiedosto  |  Interaktiivinen kartta

Kartta näyttää meteorin suuntahavainnot. Vaaleammat viivat näyttävät suunnat havaintoasemilta meteorin ilmestyessä, ja tummemmat viivat näyttävät, missä se viimeksi nähtiin. Sininen nuoli näyttää meteorin näkyvän lennon.

static map
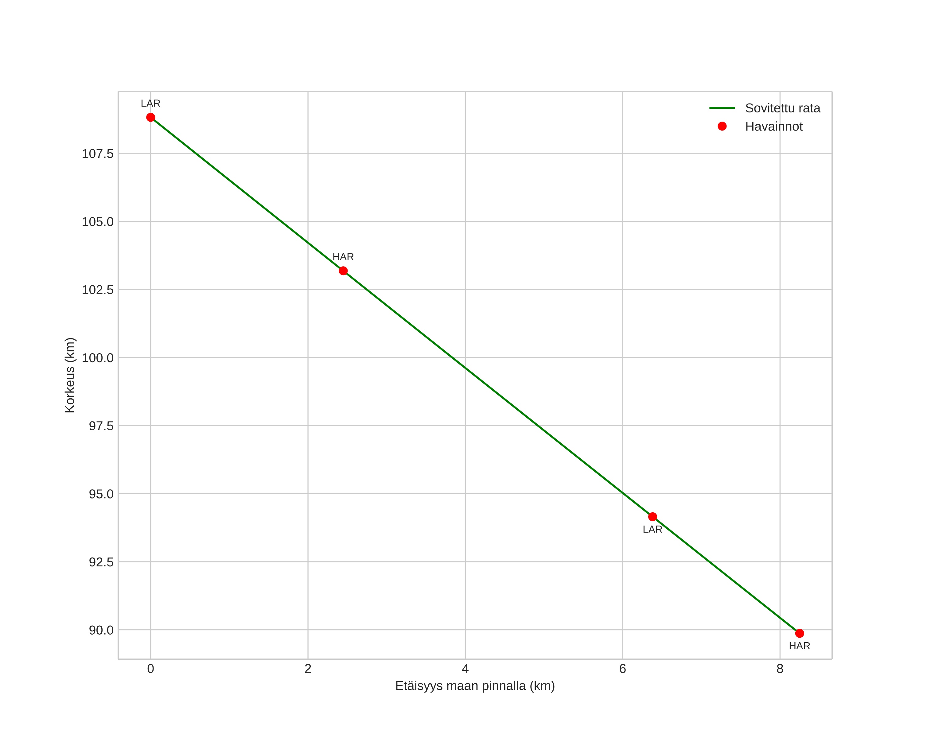
height profile
Meteorin ilmakehärata:
Alkukorkeus: 109,9 km
Loppukorkeus: 89,9 km
Alkupiste: 58,084N 10,783E
Loppupiste: 58,162N 10,796E
Suunta: 5,0°
Kallistuskulma: 66,4°
Tulonopeus: 61,5 km/s
Radiantin R,A,: 02:05 (31,3°)
Radiantin Dekl,: 34,1°
Meteoriparvi: Sporadinen
Meteoroidin rataelementit:
Perihelietäisyys: 0,238 AU
Eksentrisyys: 1,194
Inklinaatio: 104,8°
Nousevan solmun pituus: 182,9°
Perihelin argumentti: 293,7°
Keskianomalia: -22,3°
Epookki: 2025 SEP 26 01:14:28
orbit plot

Ei-interaktiivinen kuvaaja | Interaktiivinen kuvaaja

position vs time
speed and acceleration

Harestua (HAR) cam3


gnomonic
Videot:
• Gnomoninen
• Gnomoninen koordinaateilla
• Alkuperäinen
• Alkuperäinen koordinaateilla
Kuvat:
• Gnomoninen
• Gnomoninen koordinaateilla
• Alkuperäinen
• Alkuperäinen koordinaateilla
Tekstitiedostot:
• Havaintoraportti
• Observaatio
• Koordinaatit
• Loki
Kirkkaus

Larvik (LAR) cam3


gnomonic
Videot:
• Gnomoninen
• Gnomoninen koordinaateilla
• Alkuperäinen
• Alkuperäinen koordinaateilla
Kuvat:
• Gnomoninen
• Gnomoninen koordinaateilla
• Alkuperäinen
• Alkuperäinen koordinaateilla
Tekstitiedostot:
• Havaintoraportti
• Observaatio
• Koordinaatit
• Loki
Kirkkaus