🇳🇴 🇬🇧 🇩🇪 🇨🇿 🇫🇮

Meteor, poloha: Eidfjord 2025-09-26 01:31:52 UTC

Soubor KML  |  InteraktivnĂ­ mapa

Mapa zobrazuje dráhy meteoru. Světlejší čáry ukazují směry od pozorovacích stanic při objevení se meteoru a tmavší čáry, kde byl naposledy viděn. Modrá šipka značí viditelnou dráhu meteoru.

static map
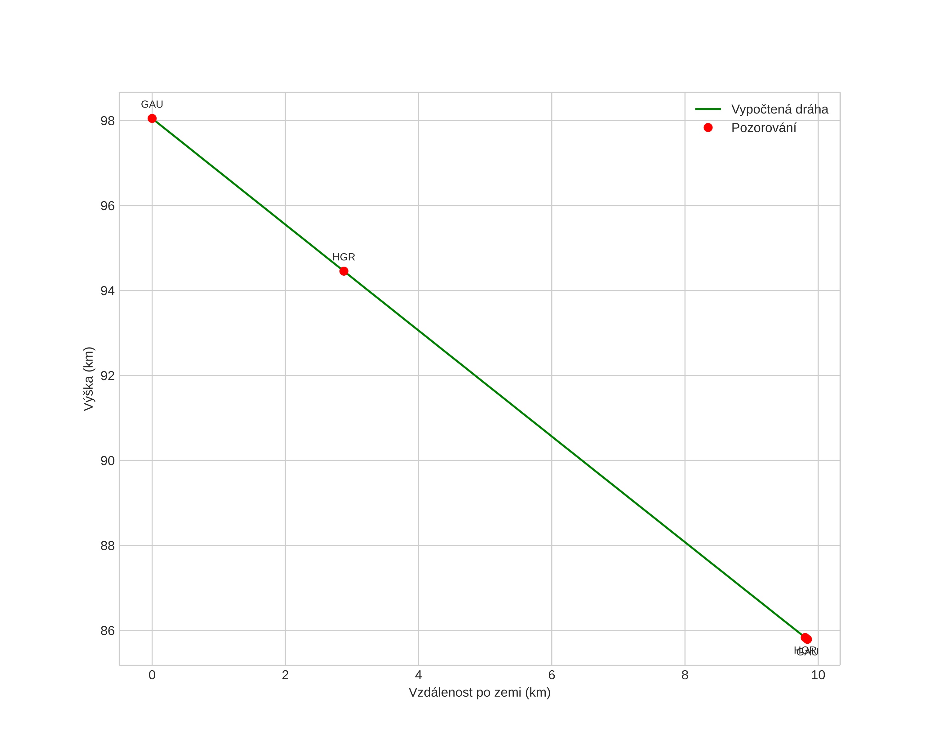
height profile
Atmosférická dráha meteoru:
Počáteční výška: 98,1 km
Konečná výška: 85,9 km
Počáteční poloha: 60,372N 6,971E
Konečná poloha: 60,284N 6,993E
Směr: 173,1°
Sklon: 51,0°
VstupnĂ­ rychlost: 34,0 km/s
Rektascenze radiantu: 16:03 (240,9°)
Deklinace radiantu: 78,8°
MeteorickĂ˝ roj: sporadickĂ˝
Elementy dráhy meteoroidu:
Vzdálenost v periheliu: 0,999 AU
Excentricita: 0,647
Sklon dráhy: 54,7°
Délka vzestupného uzlu: 182,9°
Argument perihelia: 171,8°
Střední anomálie: 1,3°
Epocha: 2025 SEP 26 01:31:52
orbit plot

NeinteraktivnĂ­ graf | InteraktivnĂ­ graf

position vs time
speed and acceleration

Gaustatoppen (GAU) cam6


gnomonic
Videa
• Gnomonická
• Gnomonická se souřadnicemi
• Původní
• Původní se souřadnicemi
Obrázky
• Gnomonická
• Gnomonická se souřadnicemi
• Původní
• Původní se souřadnicemi
Textové soubory
• Detekce
• Pozorování
• Souřadnice
• Protokol
Jasnost

Hagar (HGR) cam1


gnomonic
Videa
• Gnomonická
• Gnomonická se souřadnicemi
• Původní
• Původní se souřadnicemi
Obrázky
• Gnomonická
• Gnomonická se souřadnicemi
• Původní
• Původní se souřadnicemi
Textové soubory
• Detekce
• Pozorování
• Souřadnice
• Protokol
Jasnost