🇳🇴 🇬🇧 🇩🇪 🇨🇿 🇫🇮

Meteor over Rørvik 2025-09-26 02:17:16 UTC

KML file  |  Interactive map

The map shows the bearings for the meteor. The lighter lines show the directions from the observation sites at the meteor's appearance, and the darker lines show where it was last seen. The blue arrow indicates the visible path of the meteor.

static map
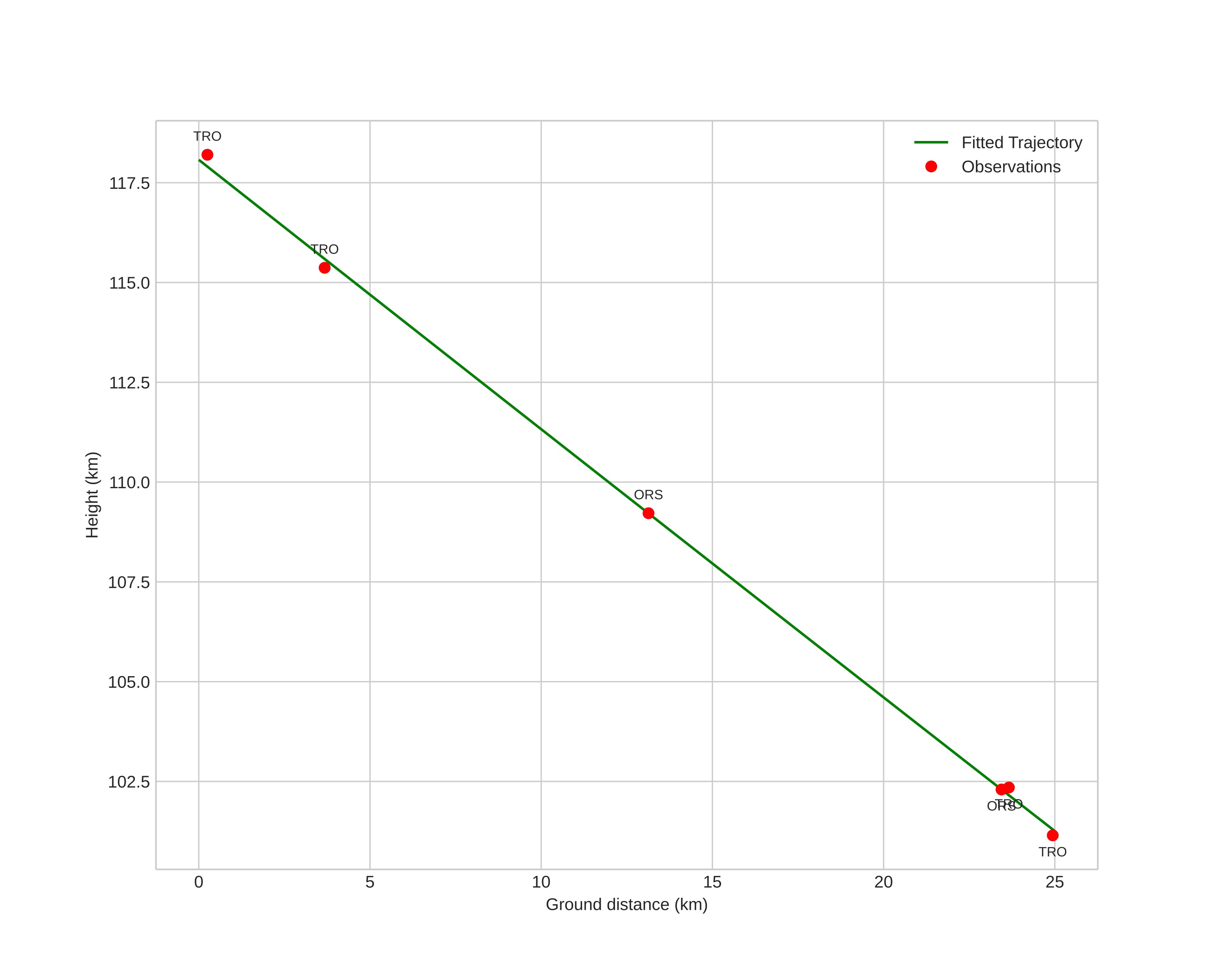
height profile
Meteor's Atmospheric Trajectory:
Start height: 118.7 km
End height: 99.2 km
Start position: 65.112N 10.772E
End position: 65.330N 10.434E
Direction: 327.2°
Inclination angle: 34.0°
Entry speed: 71.1 km/s
Radiant R.A.: 05:08 (77.1°)
Radiant Dec.: 11.9°
Meteor Shower: sporadic
Meteoroid's Orbital Elements:
Perihelion distance: 0.815 AU
Eccentricity: 1.105
Inclination: 160.0°
Long. of Asc. Node: 2.9°
Argument of Perihelion: 49.9°
Mean Anomaly: -1.4°
Epoch: 2025 SEP 26 02:17:16
orbit plot

Non-interactive plot | Interactive plot

position vs time
speed and acceleration

Orsta (ORS) cam5


gnomonic
Videos
• Gnomonic
• Gnomonic with coordinates
• Original
• Original with coordinates
Images
• Gnomonic
• Gnomonic with coordinates
• Original
• Original with coordinates
Text Files
• Detection
• Observation
• Coordinates
• Log
Brightness

Trondheim (TRO) cam1


gnomonic
Videos
• Gnomonic
• Gnomonic with coordinates
• Original
• Original with coordinates
Images
• Gnomonic
• Gnomonic with coordinates
• Original
• Original with coordinates
Text Files
• Detection
• Observation
• Coordinates
• Log
Brightness

Trondheim (TRO) cam5


gnomonic
Videos
• Gnomonic
• Gnomonic with coordinates
• Original
• Original with coordinates
Images
• Gnomonic
• Gnomonic with coordinates
• Original
• Original with coordinates
Text Files
• Detection
• Observation
• Coordinates
• Log
Brightness