🇳🇴 🇬🇧 🇩🇪 🇨🇿 🇫🇮

Meteor over Tromsø 2025-09-27 01:02:28 UTC

KML-fil  |  Interaktivt kart

Kartet viser peilingene for meteoren. De lysere linjene viser retningene fra observasjonsstedene for meteorens tilsynekomst, og de mørkere linjene viser hvor den sist kunne sees. Den blå pila viser meteorens synlige ferd.

static map
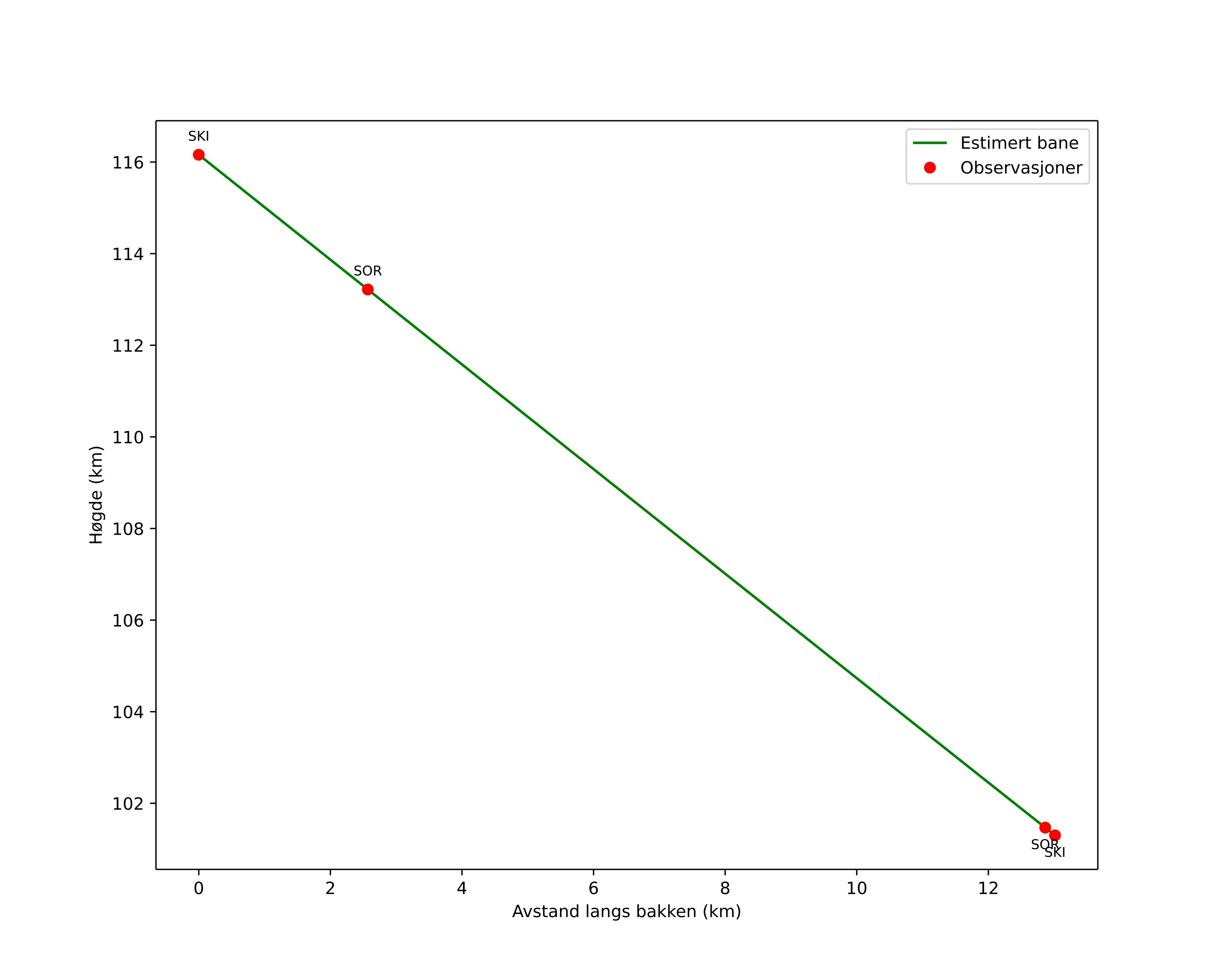
height profile
Meteorens atmosfæriske bane:
Starthøgde: 115,8 km
Slutthøgde: 100,1 km
Startposisjon: 70,802N 19,078E
Sluttposisjon: 70,865N 18,758E
Retning: 300,9°
Fallvinkel: 49,1°
Inngangshastighet: 73,0 km/s
Radiantens rektascensjon: 05:39 (85,0°)
Radiantens deklinasjon: 36,8°
Meteorsverm: sporadisk
Meteoroidens baneelement:
Perihelavstand: 0,954 AU
Eksentrisitet: 1,206
Inklinasjon: 157,1°
Knutelengde: 183,8°
Perihelargument: 204,3°
Midlere anomali: -1,6°
Epoke: 2025 SEP 27 01:02:28
orbit plot

Ikke-interaktivt plott | Interaktivt plott

position vs time
speed and acceleration

Skibotn (SKI) cam1


gnomonic
Videoer
• Gnomonisk
• Gnomonisk med koordinater
• Original
• Original med koordinater
Bilder
• Gnomonisk
• Gnomonisk med koordinater
• Original
• Original med koordinater
Tekstfiler
• Deteksjon
• Observasjon
• Koordinater
• Logg
Lysstyrke

Sorreisa (SOR) cam1


gnomonic
Videoer
• Gnomonisk
• Gnomonisk med koordinater
• Original
• Original med koordinater
Bilder
• Gnomonisk
• Gnomonisk med koordinater
• Original
• Original med koordinater
Tekstfiler
• Deteksjon
• Observasjon
• Koordinater
• Logg
Lysstyrke