🇳🇴 🇬🇧 🇩🇪 🇨🇿 🇫🇮

Meteor Tromsøin yllä 2025-09-27 01:02:28 UTC

KML-tiedosto  |  Interaktiivinen kartta

Kartta näyttää meteorin suuntahavainnot. Vaaleammat viivat näyttävät suunnat havaintoasemilta meteorin ilmestyessä, ja tummemmat viivat näyttävät, missä se viimeksi nähtiin. Sininen nuoli näyttää meteorin näkyvän lennon.

static map
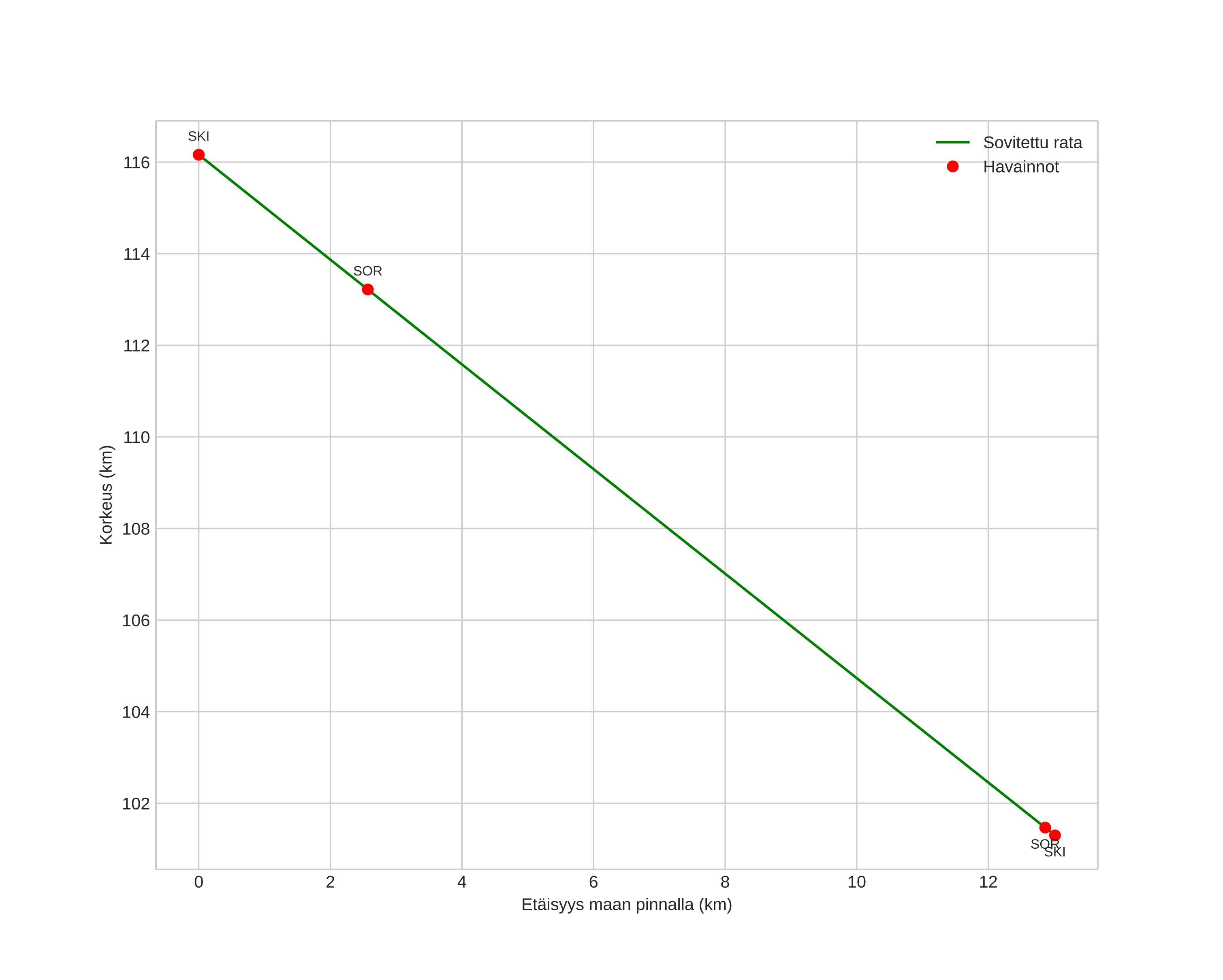
height profile
Meteorin ilmakehärata:
Alkukorkeus: 115,8 km
Loppukorkeus: 100,1 km
Alkupiste: 70,802N 19,078E
Loppupiste: 70,865N 18,758E
Suunta: 300,9°
Kallistuskulma: 49,1°
Tulonopeus: 73,0 km/s
Radiantin R,A,: 05:39 (85,0°)
Radiantin Dekl,: 36,8°
Meteoriparvi: Sporadinen
Meteoroidin rataelementit:
Perihelietäisyys: 0,954 AU
Eksentrisyys: 1,206
Inklinaatio: 157,1°
Nousevan solmun pituus: 183,8°
Perihelin argumentti: 204,3°
Keskianomalia: -1,6°
Epookki: 2025 SEP 27 01:02:28
orbit plot

Ei-interaktiivinen kuvaaja | Interaktiivinen kuvaaja

position vs time
speed and acceleration

Skibotn (SKI) cam1


gnomonic
Videot:
• Gnomoninen
• Gnomoninen koordinaateilla
• Alkuperäinen
• Alkuperäinen koordinaateilla
Kuvat:
• Gnomoninen
• Gnomoninen koordinaateilla
• Alkuperäinen
• Alkuperäinen koordinaateilla
Tekstitiedostot:
• Havaintoraportti
• Observaatio
• Koordinaatit
• Loki
Kirkkaus

Sorreisa (SOR) cam1


gnomonic
Videot:
• Gnomoninen
• Gnomoninen koordinaateilla
• Alkuperäinen
• Alkuperäinen koordinaateilla
Kuvat:
• Gnomoninen
• Gnomoninen koordinaateilla
• Alkuperäinen
• Alkuperäinen koordinaateilla
Tekstitiedostot:
• Havaintoraportti
• Observaatio
• Koordinaatit
• Loki
Kirkkaus