🇳🇴 🇬🇧 🇩🇪 🇨🇿 🇫🇮

Meteor über Råholt 2025-09-27 22:59:21 UTC

KML-Datei  |  Interaktive Karte

Die Karte zeigt die Peilungen für den Meteor. Die helleren Linien zeigen die Richtungen von den Beobachtungsorten beim Erscheinen des Meteors, und die dunkleren Linien, wo er zuletzt gesehen wurde. Der blaue Pfeil zeigt die sichtbare Bahn des Meteors.

static map
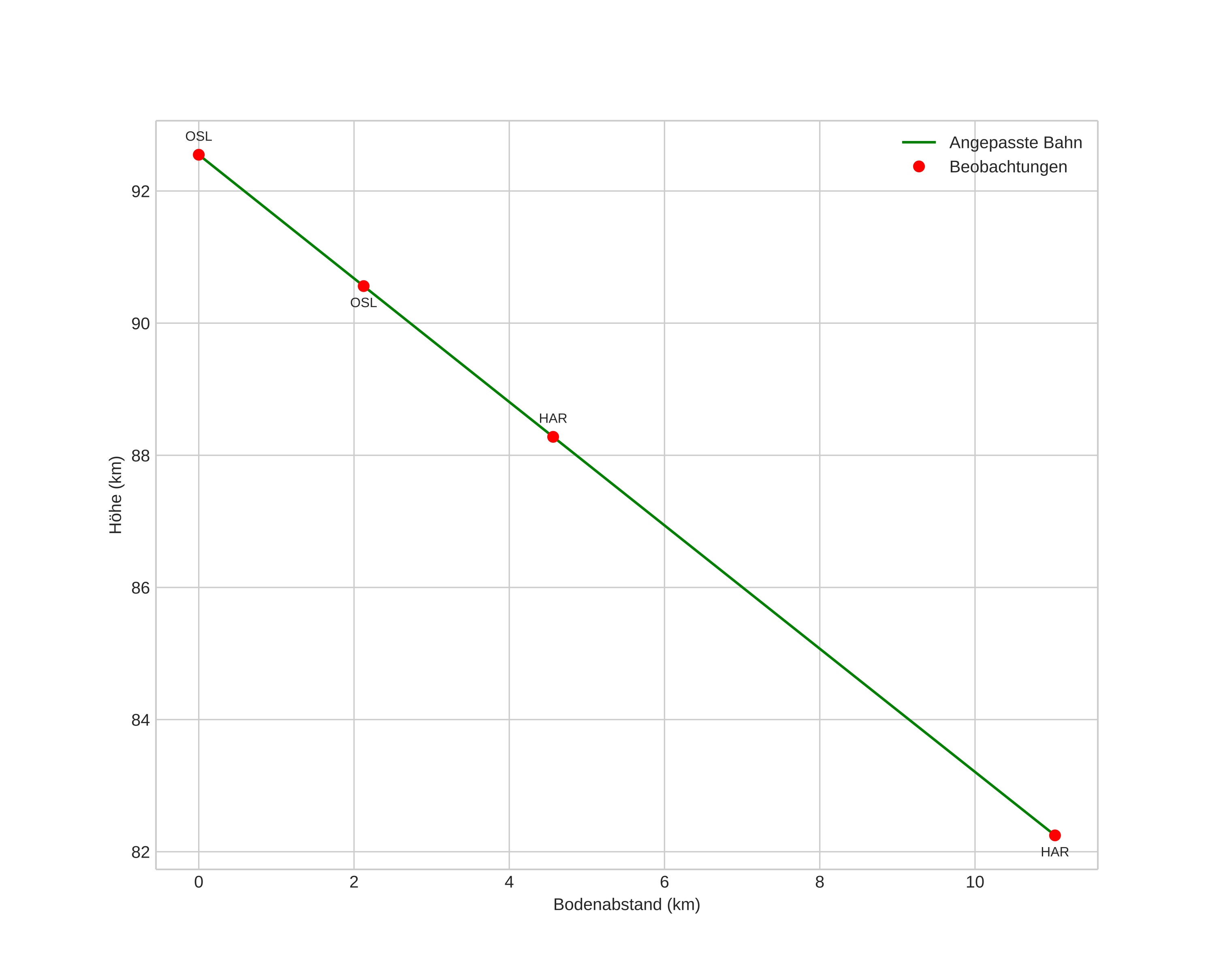
height profile
Atmosphärische Bahn des Meteors:
Anfangshöhe: 100,1 km
Endhöhe: 82,8 km
Startposition: 60,136N 11,322E
Endposition: 60,279N 11,147E
Richtung: 328,8°
Neigungswinkel: 42,9°
Eintrittsgeschwindigkeit: 36,1 km/s
Rektaszension des Radianten: 01:43 (26,0°)
Deklination des Radianten: 14,8°
Meteorstrom: sporadisch
Bahnelemente des Meteoroiden:
Periheldistanz: 0,144 AU
Exzentrizität: 0,914
Inklination: 8,3°
Länge des aufsteigenden Knotens: 184,7°
Argument des Perihels: 322,5°
Mittlere Anomalie: 343,2°
Epoche: 2025 SEP 27 22:59:21
orbit plot

Nicht-interaktives Diagramm | Interaktives Diagramm

position vs time
speed and acceleration

Harestua (HAR) cam6


gnomonic
Videos
• Gnomonisch
• Gnomonisch mit Koordinaten
• Original
• Original mit Koordinaten
Bilder
• Gnomonisch
• Gnomonisch mit Koordinaten
• Original
• Original mit Koordinaten
Textdateien
• Erkennung
• Beobachtung
• Koordinaten
• Protokoll
Helligkeit

Voksenlia (OSL) cam6


gnomonic
Videos
• Gnomonisch
• Gnomonisch mit Koordinaten
• Original
• Original mit Koordinaten
Bilder
• Gnomonisch
• Gnomonisch mit Koordinaten
• Original
• Original mit Koordinaten
Textdateien
• Erkennung
• Beobachtung
• Koordinaten
• Protokoll
Helligkeit