🇳🇴 🇬🇧 🇩🇪 🇨🇿 🇫🇮

Meteor Vossin yllä 2025-09-28 03:21:33 UTC

KML-tiedosto  |  Interaktiivinen kartta

Kartta näyttää meteorin suuntahavainnot. Vaaleammat viivat näyttävät suunnat havaintoasemilta meteorin ilmestyessä, ja tummemmat viivat näyttävät, missä se viimeksi nähtiin. Sininen nuoli näyttää meteorin näkyvän lennon.

static map
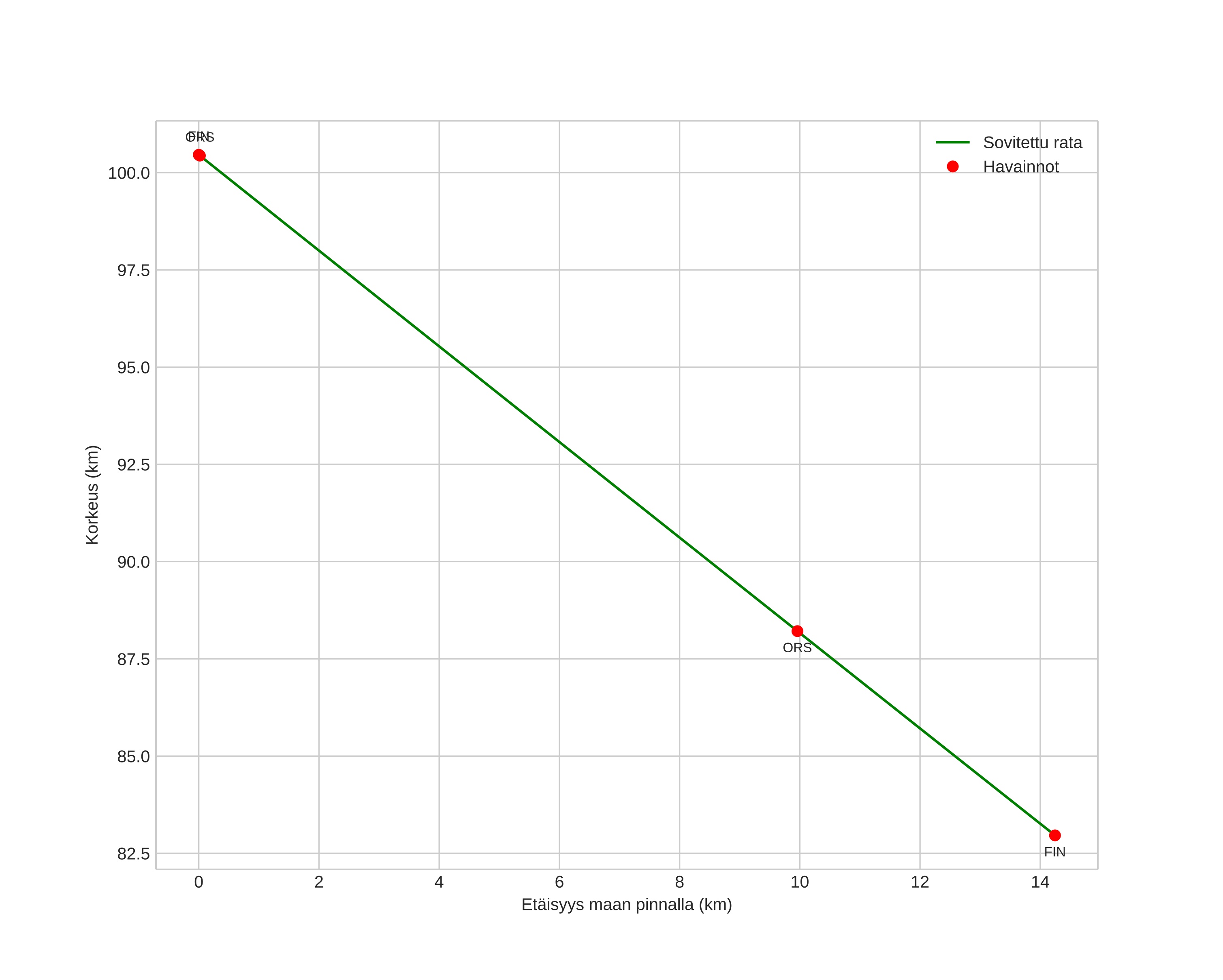
height profile
Meteorin ilmakehärata:
Alkukorkeus: 100,6 km
Loppukorkeus: 82,7 km
Alkupiste: 60,722N 6,558E
Loppupiste: 60,826N 6,397E
Suunta: 323,2°
Kallistuskulma: 51,0°
Tulonopeus: 73,0 km/s
Radiantin R,A,: 05:52 (88,2°)
Radiantin Dekl,: 25,2°
Meteoriparvi: Sporadinen
Meteoroidin rataelementit:
Perihelietäisyys: 0,962 AU
Eksentrisyys: 1,066
Inklinaatio: 176,9°
Nousevan solmun pituus: 184,9°
Perihelin argumentti: 202,7°
Keskianomalia: -0,3°
Epookki: 2025 SEP 28 03:21:33
orbit plot

Ei-interaktiivinen kuvaaja | Interaktiivinen kuvaaja

position vs time
speed and acceleration

Finnskogen (FIN) cam5


gnomonic
Videot:
• Gnomoninen
• Gnomoninen koordinaateilla
• Alkuperäinen
• Alkuperäinen koordinaateilla
Kuvat:
• Gnomoninen
• Gnomoninen koordinaateilla
• Alkuperäinen
• Alkuperäinen koordinaateilla
Tekstitiedostot:
• Havaintoraportti
• Observaatio
• Koordinaatit
• Loki
Kirkkaus

Orsta (ORS) cam2


gnomonic
Videot:
• Gnomoninen
• Gnomoninen koordinaateilla
• Alkuperäinen
• Alkuperäinen koordinaateilla
Kuvat:
• Gnomoninen
• Gnomoninen koordinaateilla
• Alkuperäinen
• Alkuperäinen koordinaateilla
Tekstitiedostot:
• Havaintoraportti
• Observaatio
• Koordinaatit
• Loki
Kirkkaus