🇳🇴 🇬🇧 🇩🇪 🇨🇿 🇫🇮

Meteor Skjervøyn yllä 2025-10-01 21:43:59 UTC

KML-tiedosto  |  Interaktiivinen kartta

Kartta näyttää meteorin suuntahavainnot. Vaaleammat viivat näyttävät suunnat havaintoasemilta meteorin ilmestyessä, ja tummemmat viivat näyttävät, missä se viimeksi nähtiin. Sininen nuoli näyttää meteorin näkyvän lennon.

static map
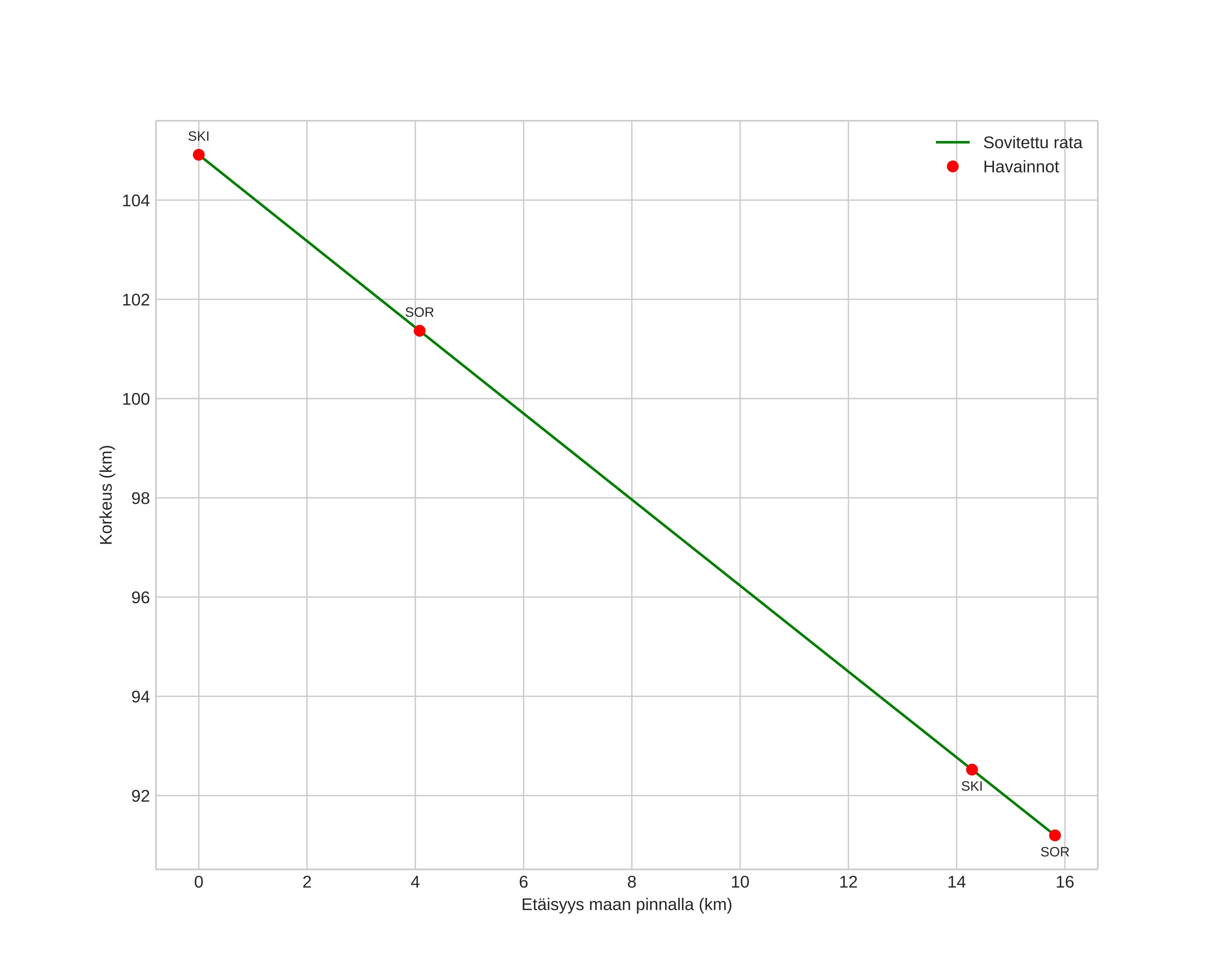
height profile
Meteorin ilmakehärata:
Alkukorkeus: 104,3 km
Loppukorkeus: 90,8 km
Alkupiste: 71,190N 21,575E
Loppupiste: 71,254N 21,205E
Suunta: 298,5°
Kallistuskulma: 41,9°
Tulonopeus: 63,4 km/s
Radiantin R,A,: 03:11 (47,8°)
Radiantin Dekl,: 30,7°
Meteoriparvi: Sporadinen
Meteoroidin rataelementit:
Perihelietäisyys: 0,194 AU
Eksentrisyys: 1,104
Inklinaatio: 135,0°
Nousevan solmun pituus: 188,6°
Perihelin argumentti: 302,5°
Keskianomalia: -12,0°
Epookki: 2025 OCT 01 21:43:59
orbit plot

Ei-interaktiivinen kuvaaja | Interaktiivinen kuvaaja

position vs time
speed and acceleration

Skibotn (SKI) cam1


gnomonic
Videot:
• Gnomoninen
• Gnomoninen koordinaateilla
• Alkuperäinen
• Alkuperäinen koordinaateilla
Kuvat:
• Gnomoninen
• Gnomoninen koordinaateilla
• Alkuperäinen
• Alkuperäinen koordinaateilla
Tekstitiedostot:
• Havaintoraportti
• Observaatio
• Koordinaatit
• Loki
Kirkkaus

Sorreisa (SOR) cam1


gnomonic
Videot:
• Gnomoninen
• Gnomoninen koordinaateilla
• Alkuperäinen
• Alkuperäinen koordinaateilla
Kuvat:
• Gnomoninen
• Gnomoninen koordinaateilla
• Alkuperäinen
• Alkuperäinen koordinaateilla
Tekstitiedostot:
• Havaintoraportti
• Observaatio
• Koordinaatit
• Loki
Kirkkaus