🇳🇴 🇬🇧 🇩🇪 🇨🇿 🇫🇮

Meteor, poloha: Lyngseidet 2025-10-02 01:55:48 UTC

Soubor KML  |  Interaktivní mapa

Mapa zobrazuje dráhy meteoru. Světlejší čáry ukazují směry od pozorovacích stanic při objevení se meteoru a tmavší čáry, kde byl naposledy viděn. Modrá šipka značí viditelnou dráhu meteoru.

static map
height profile
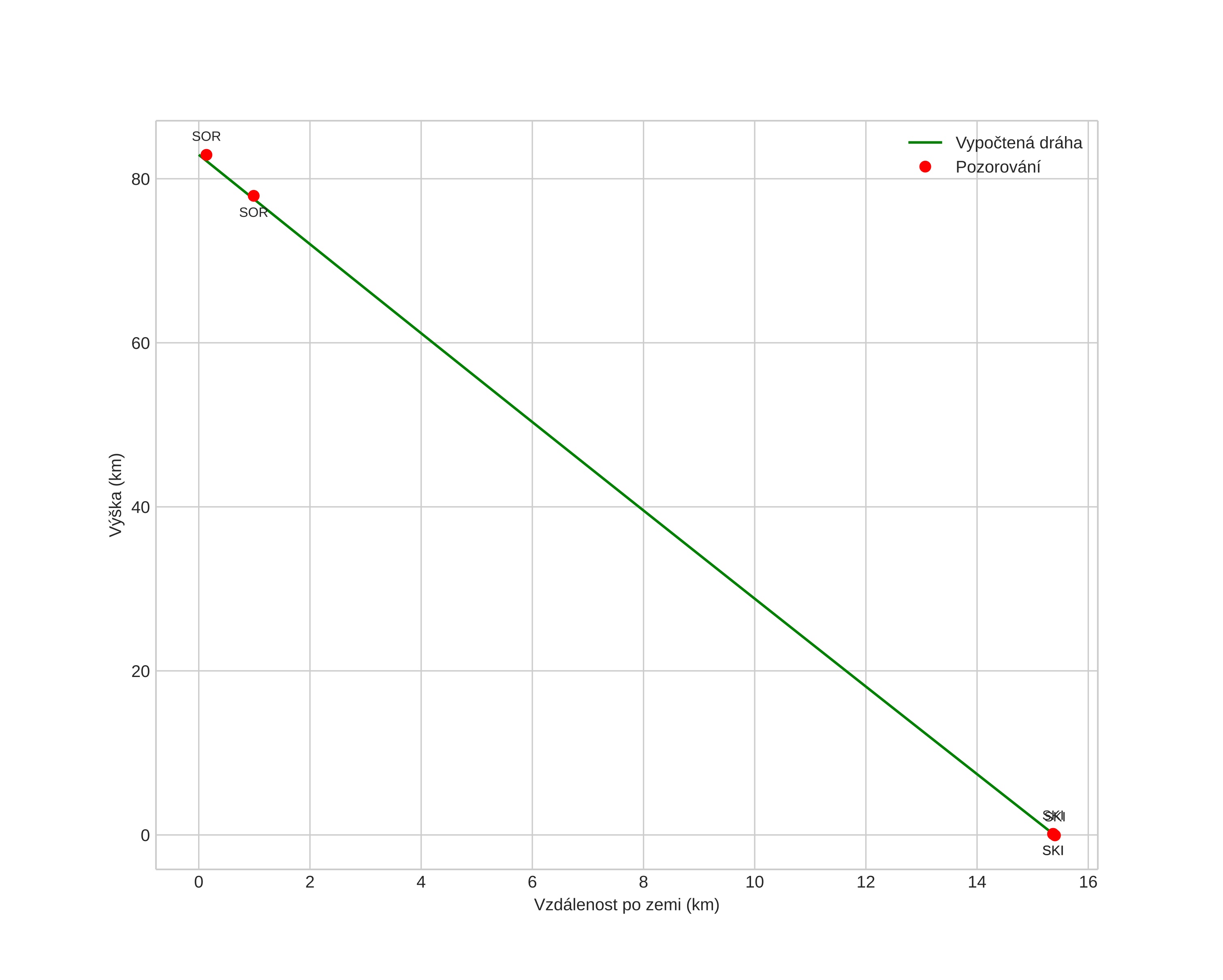
Atmosférická dráha meteoru:
Počáteční výška: 83,2 km
Konečná výška: -0,3 km
Počáteční poloha: 69,430N 20,679E
Konečná poloha: 69,348N 20,361E
Směr: 233,9°
Sklon: 79,5°
position vs time
speed and acceleration