🇳🇴 🇬🇧 🇩🇪 🇨🇿 🇫🇮

Meteor Lesjan yllä 2025-10-06 01:08:16 UTC

KML-tiedosto  |  Interaktiivinen kartta

Kartta näyttää meteorin suuntahavainnot. Vaaleammat viivat näyttävät suunnat havaintoasemilta meteorin ilmestyessä, ja tummemmat viivat näyttävät, missä se viimeksi nähtiin. Sininen nuoli näyttää meteorin näkyvän lennon.

static map
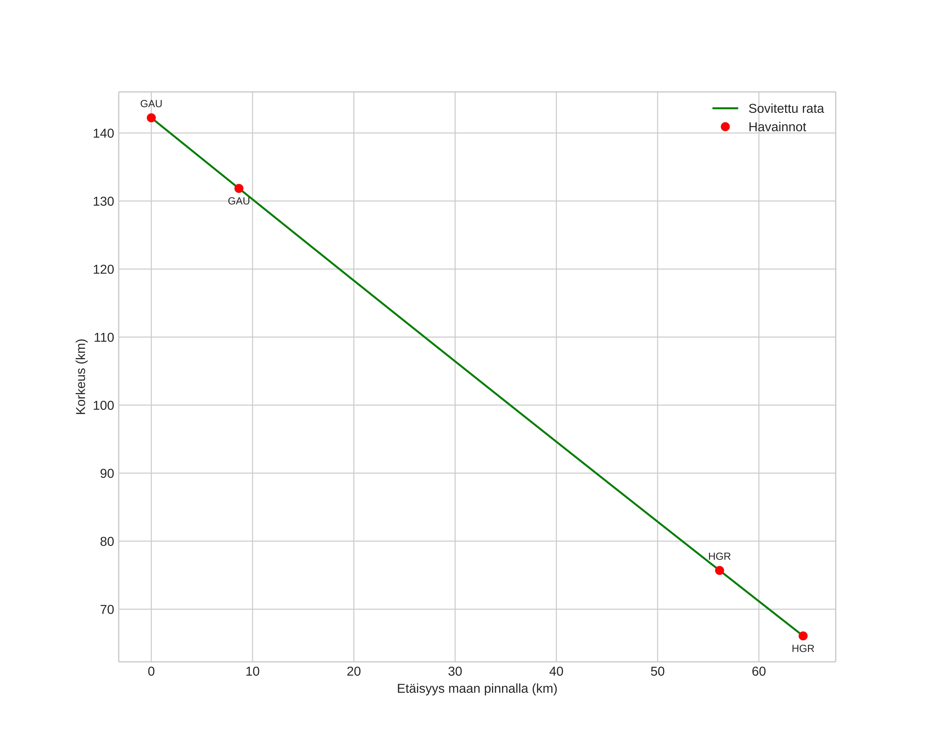
height profile
Meteorin ilmakehärata:
Alkukorkeus: 142,4 km
Loppukorkeus: 65,9 km
Alkupiste: 61,687N 9,891E
Loppupiste: 62,043N 8,932E
Suunta: 308,7°
Kallistuskulma: 50,1°
Tulonopeus: 73,0 km/s
Radiantin R,A,: 05:05 (76,3°)
Radiantin Dekl,: 28,7°
Meteoriparvi: Sporadinen
Meteoroidin rataelementit:
Perihelietäisyys: 0,630 AU
Eksentrisyys: 1,325
Inklinaatio: 168,3°
Nousevan solmun pituus: 192,7°
Perihelin argumentti: 249,5°
Keskianomalia: -11,8°
Epookki: 2025 OCT 06 01:08:16
orbit plot

Ei-interaktiivinen kuvaaja | Interaktiivinen kuvaaja

position vs time
speed and acceleration

Gaustatoppen (GAU) cam1


gnomonic
Videot:
• Gnomoninen
• Gnomoninen koordinaateilla
• Alkuperäinen
• Alkuperäinen koordinaateilla
Kuvat:
• Gnomoninen
• Gnomoninen koordinaateilla
• Alkuperäinen
• Alkuperäinen koordinaateilla
Tekstitiedostot:
• Havaintoraportti
• Observaatio
• Koordinaatit
• Loki
Kirkkaus

Hagar (HGR) cam2


gnomonic
Videot:
• Gnomoninen
• Gnomoninen koordinaateilla
• Alkuperäinen
• Alkuperäinen koordinaateilla
Kuvat:
• Gnomoninen
• Gnomoninen koordinaateilla
• Alkuperäinen
• Alkuperäinen koordinaateilla
Tekstitiedostot:
• Havaintoraportti
• Observaatio
• Koordinaatit
• Loki
Kirkkaus