🇳🇴 🇬🇧 🇩🇪 🇨🇿 🇫🇮

Meteor over Kittilä 2025-10-06 19:18:33 UTC

KML-fil  |  Interaktivt kart

Kartet viser peilingene for meteoren. De lysere linjene viser retningene fra observasjonsstedene for meteorens tilsynekomst, og de mørkere linjene viser hvor den sist kunne sees. Den blå pila viser meteorens synlige ferd.

static map
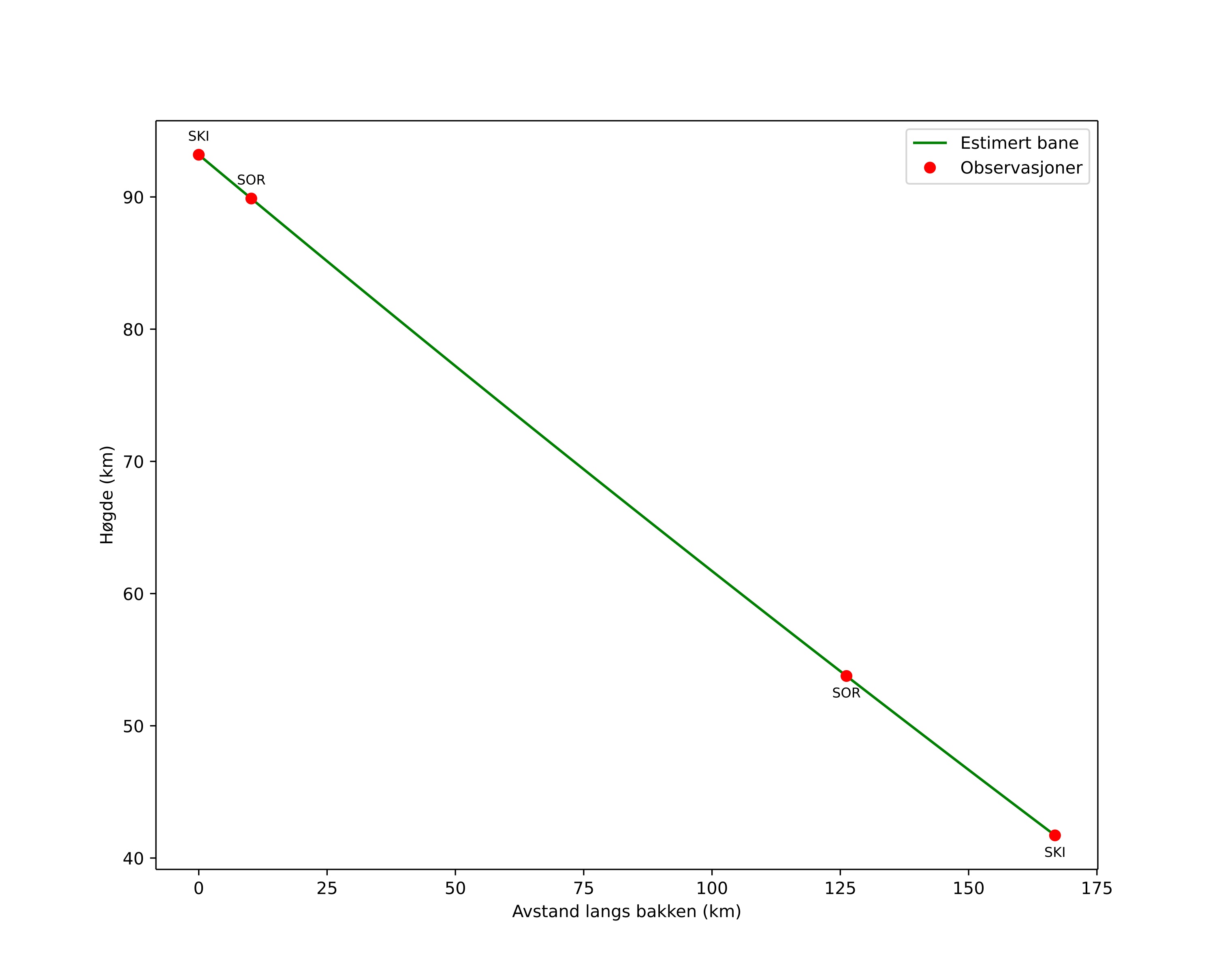
height profile
Meteorens atmosfæriske bane:
Starthøgde: 93,2 km
Slutthøgde: 41,7 km
Startposisjon: 68,624N 22,195E
Sluttposisjon: 67,918N 25,772E
Retning: 116,4°
Fallvinkel: 17,2°
Inngangshastighet: 21,2 km/s
Radiantens rektascensjon: 14:24 (216,2°)
Radiantens deklinasjon: 19,2°
Meteorsverm: sporadisk
Meteoroidens baneelement:
Perihelavstand: 0,809 AU
Eksentrisitet: 0,674
Inklinasjon: 16,0°
Knutelengde: 193,4°
Perihelargument: 121,7°
Midlere anomali: 9,7°
Epoke: 2025 OCT 06 19:18:33
orbit plot

Ikke-interaktivt plott | Interaktivt plott

position vs time
speed and acceleration

Skibotn (SKI) cam3


gnomonic
Videoer
• Gnomonisk
• Gnomonisk med koordinater
• Original
• Original med koordinater
Bilder
• Gnomonisk
• Gnomonisk med koordinater
• Original
• Original med koordinater
Tekstfiler
• Deteksjon
• Observasjon
• Koordinater
• Logg
Lysstyrke

Sorreisa (SOR) cam2


gnomonic
Videoer
• Gnomonisk
• Gnomonisk med koordinater
• Original
• Original med koordinater
Bilder
• Gnomonisk
• Gnomonisk med koordinater
• Original
• Original med koordinater
Tekstfiler
• Deteksjon
• Observasjon
• Koordinater
• Logg
Lysstyrke