🇳🇴 🇬🇧 🇩🇪 🇨🇿 🇫🇮

Meteor over Hov 2025-10-08 03:36:08 UTC

KML file  |  Interactive map

The map shows the bearings for the meteor. The lighter lines show the directions from the observation sites at the meteor's appearance, and the darker lines show where it was last seen. The blue arrow indicates the visible path of the meteor.

static map
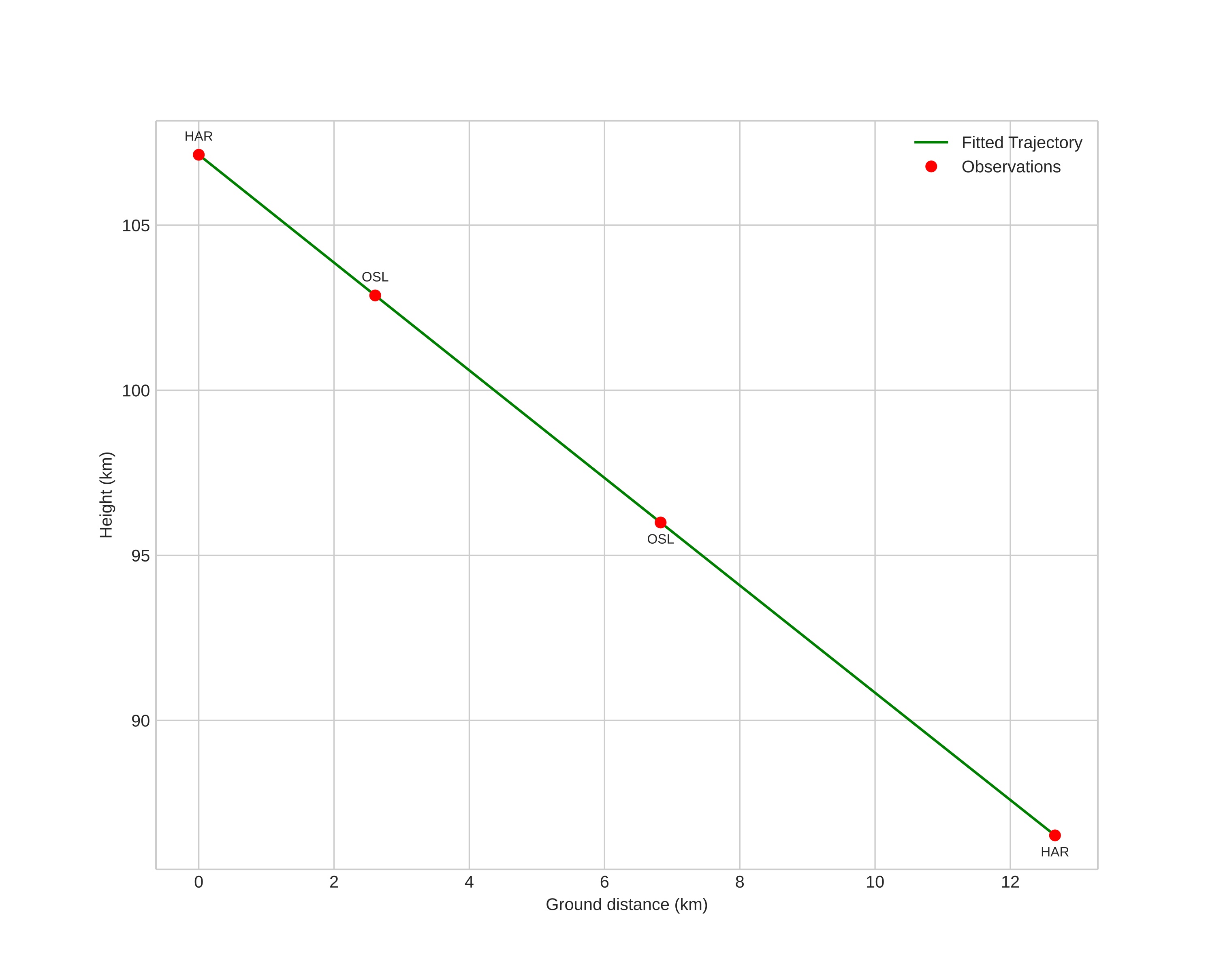
height profile
Meteor's Atmospheric Trajectory:
Start height: 107.0 km
End height: 86.6 km
Start position: 60.790N 10.545E
End position: 60.816N 10.317E
Direction: 283.4°
Inclination angle: 58.1°
Entry speed: 68.2 km/s
Radiant R.A.: 08:22 (125.6°)
Radiant Dec.: 42.8°
Meteor Shower: sporadic
Meteoroid's Orbital Elements:
Perihelion distance: 0.902 AU
Eccentricity: 1.013
Inclination: 139.7°
Long. of Asc. Node: 194.8°
Argument of Perihelion: 143.7°
Mean Anomaly: 0.0°
Epoch: 2025 OCT 08 03:36:08
orbit plot

Non-interactive plot | Interactive plot

position vs time
speed and acceleration

Harestua (HAR) cam6


gnomonic
Videos
• Gnomonic
• Gnomonic with coordinates
• Original
• Original with coordinates
Images
• Gnomonic
• Gnomonic with coordinates
• Original
• Original with coordinates
Text Files
• Detection
• Observation
• Coordinates
• Log
Brightness

Voksenlia (OSL) cam1


gnomonic
Videos
• Gnomonic
• Gnomonic with coordinates
• Original
• Original with coordinates
Images
• Gnomonic
• Gnomonic with coordinates
• Original
• Original with coordinates
Text Files
• Detection
• Observation
• Coordinates
• Log
Brightness