🇳🇴 🇬🇧 🇩🇪 🇨🇿 🇫🇮

Meteor over Eidsvoll 2025-10-08 19:53:13 UTC

KML-fil  |  Interaktivt kart

Kartet viser peilingene for meteoren. De lysere linjene viser retningene fra observasjonsstedene for meteorens tilsynekomst, og de mørkere linjene viser hvor den sist kunne sees. Den blå pila viser meteorens synlige ferd.

static map
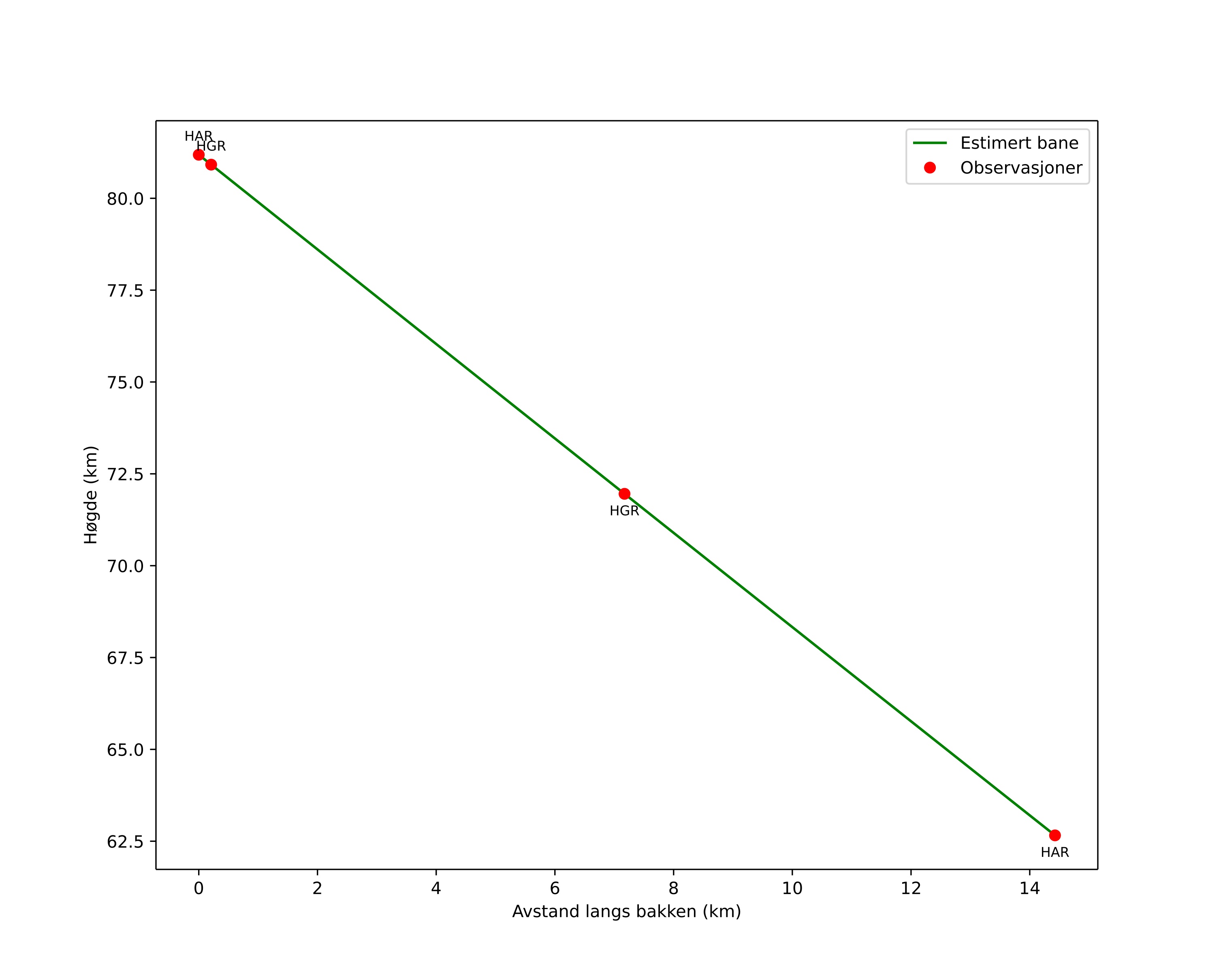
height profile
Meteorens atmosfæriske bane:
Starthøgde: 80,1 km
Slutthøgde: 64,9 km
Startposisjon: 60,263N 11,245E
Sluttposisjon: 60,398N 11,231E
Retning: 357,2°
Fallvinkel: 45,3°
Inngangshastighet: 15,0 km/s
Radiantens rektascensjon: 21:52 (328,1°)
Radiantens deklinasjon: 6,2°
Meteorsverm: sporadisk
Meteoroidens baneelement:
Perihelavstand: 0,944 AU
Eksentrisitet: 0,585
Inklinasjon: 4,9°
Knutelengde: 195,4°
Perihelargument: 211,8°
Midlere anomali: 353,0°
Epoke: 2025 OCT 08 19:53:13
orbit plot

Ikke-interaktivt plott | Interaktivt plott

position vs time
speed and acceleration

Hagar (HGR) cam6


gnomonic
Videoer
• Gnomonisk
• Gnomonisk med koordinater
• Original
• Original med koordinater
Bilder
• Gnomonisk
• Gnomonisk med koordinater
• Original
• Original med koordinater
Tekstfiler
• Deteksjon
• Observasjon
• Koordinater
• Logg
Lysstyrke

Harestua (HAR) cam6


gnomonic
Videoer
• Gnomonisk
• Gnomonisk med koordinater
• Original
• Original med koordinater
Bilder
• Gnomonisk
• Gnomonisk med koordinater
• Original
• Original med koordinater
Tekstfiler
• Deteksjon
• Observasjon
• Koordinater
• Logg
Lysstyrke