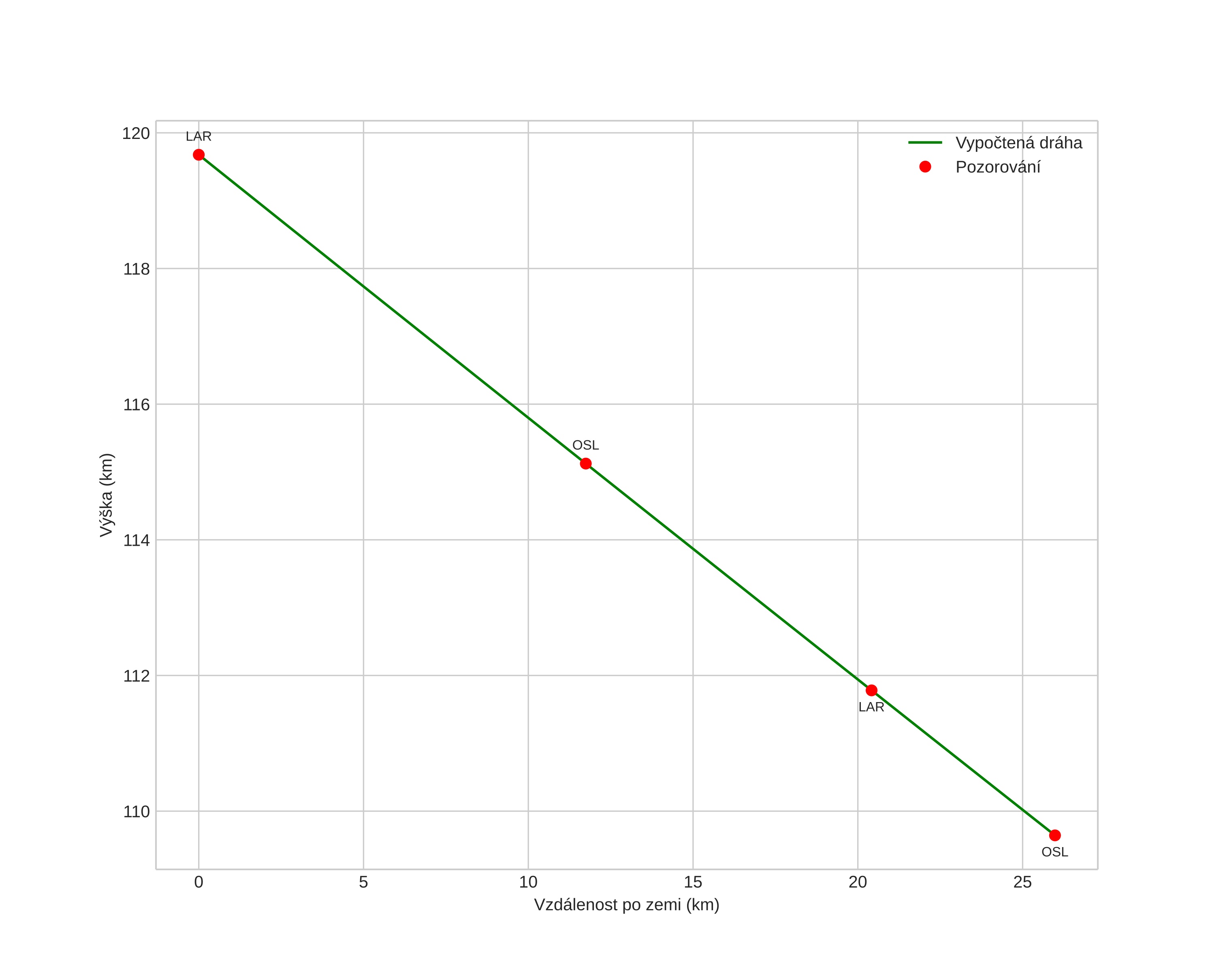
Atmosférická dráha meteoru:
| Počátečnà výška: | 118,8 km |
| Konečná výška: | 115,9 km |
| Počátečnà poloha: | 57,516N 10,615E |
| Konečná poloha: | 57,274N 10,313E |
| Směr: | 214,0° |
| Sklon: | 5,1° |
| VstupnĂ rychlost: | 81,1 km/s |
| Rektascenze radiantu: | 08:52 (133,2°) |
| Deklinace radiantu: | 30,9° |
| MeteorickĂ˝ roj: | sporadickĂ˝ |
|
Elementy dráhy meteoroidu:
| Vzdálenost v periheliu: | 0,795 AU |
| Excentricita: | 2,059 |
| Sklon dráhy: | 157,4° |
| Délka vzestupného uzlu: | 195,5° |
| Argument perihelia: | 134,2° |
| Střednà anomálie: | 33,4° |
| Epocha: | 2025 OCT 08 21:42:12 |
|