🇳🇴 🇬🇧 🇩🇪 🇨🇿 🇫🇮

Meteor Dronninglundin yllä 2025-10-08 21:42:12 UTC

KML-tiedosto  |  Interaktiivinen kartta

Kartta näyttää meteorin suuntahavainnot. Vaaleammat viivat näyttävät suunnat havaintoasemilta meteorin ilmestyessä, ja tummemmat viivat näyttävät, missä se viimeksi nähtiin. Sininen nuoli näyttää meteorin näkyvän lennon.

static map
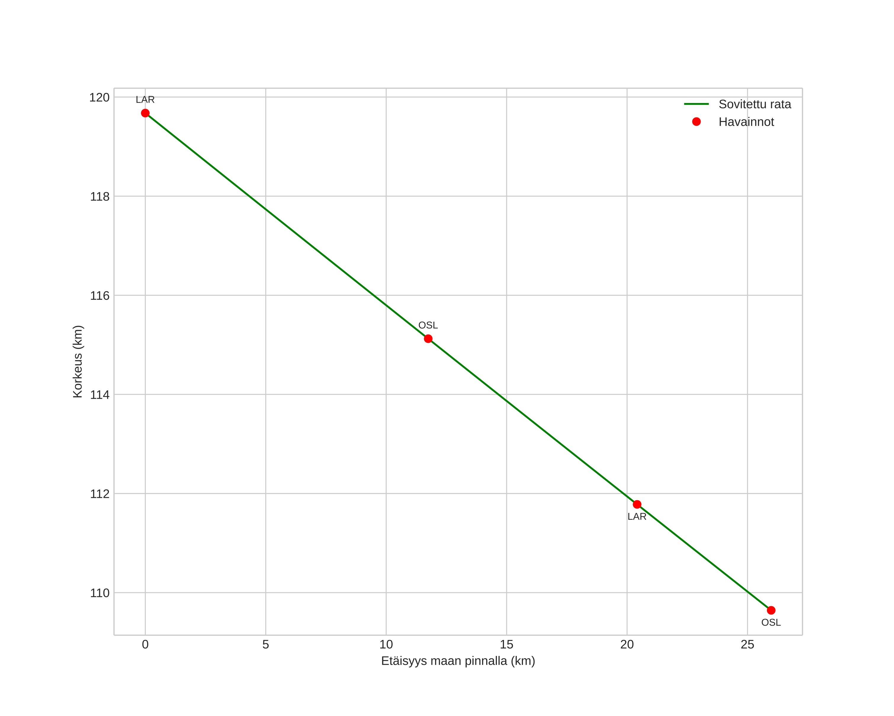
height profile
Meteorin ilmakehärata:
Alkukorkeus: 118,8 km
Loppukorkeus: 115,9 km
Alkupiste: 57,516N 10,615E
Loppupiste: 57,274N 10,313E
Suunta: 214,0°
Kallistuskulma: 5,1°
Tulonopeus: 81,1 km/s
Radiantin R,A,: 08:52 (133,2°)
Radiantin Dekl,: 30,9°
Meteoriparvi: Sporadinen
Meteoroidin rataelementit:
Perihelietäisyys: 0,795 AU
Eksentrisyys: 2,059
Inklinaatio: 157,4°
Nousevan solmun pituus: 195,5°
Perihelin argumentti: 134,2°
Keskianomalia: 33,4°
Epookki: 2025 OCT 08 21:42:12
orbit plot

Ei-interaktiivinen kuvaaja | Interaktiivinen kuvaaja

position vs time
speed and acceleration

Larvik (LAR) cam3


gnomonic
Videot:
• Gnomoninen
• Gnomoninen koordinaateilla
• Alkuperäinen
• Alkuperäinen koordinaateilla
Kuvat:
• Gnomoninen
• Gnomoninen koordinaateilla
• Alkuperäinen
• Alkuperäinen koordinaateilla
Tekstitiedostot:
• Havaintoraportti
• Observaatio
• Koordinaatit
• Loki
Kirkkaus

Voksenlia (OSL) cam4


gnomonic
Videot:
• Gnomoninen
• Gnomoninen koordinaateilla
• Alkuperäinen
• Alkuperäinen koordinaateilla
Kuvat:
• Gnomoninen
• Gnomoninen koordinaateilla
• Alkuperäinen
• Alkuperäinen koordinaateilla
Tekstitiedostot:
• Havaintoraportti
• Observaatio
• Koordinaatit
• Loki
Kirkkaus