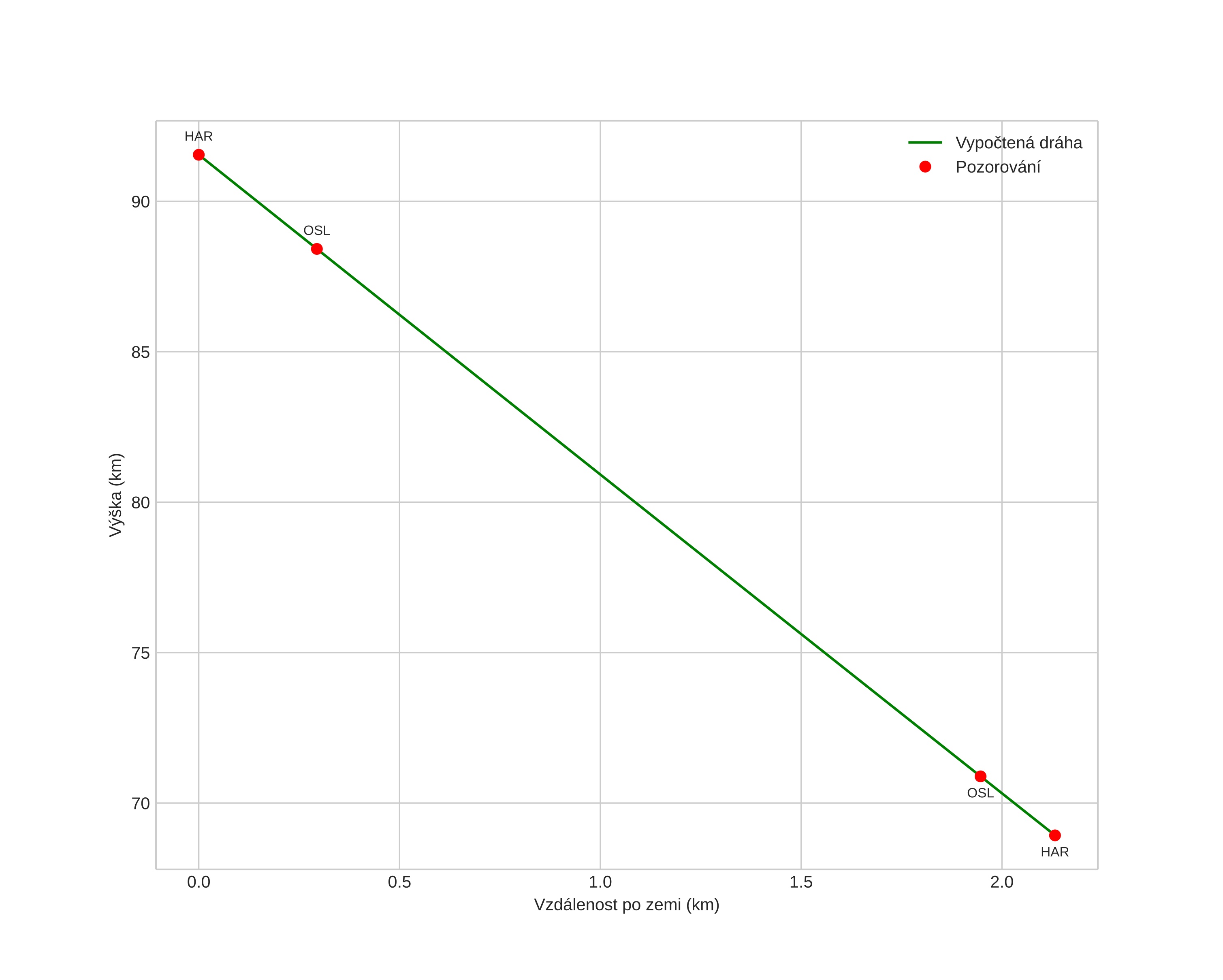
Atmosférická dráha meteoru:
| Počátečnà výška: | 90,9 km |
| Konečná výška: | 68,9 km |
| Počátečnà poloha: | 59,662N 8,297E |
| Konečná poloha: | 59,662N 8,233E |
| Směr: | 270,6° |
| Sklon: | 80,7° |
| VstupnĂ rychlost: | 35,4 km/s |
| Rektascenze radiantu: | 01:19 (19,9°) |
| Deklinace radiantu: | 58,0° |
| MeteorickĂ˝ roj: | sporadickĂ˝ |
|
Elementy dráhy meteoroidu:
| Vzdálenost v periheliu: | 0,585 AU |
| Excentricita: | 0,709 |
| Sklon dráhy: | 52,8° |
| Délka vzestupného uzlu: | 195,5° |
| Argument perihelia: | 269,9° |
| Střednà anomálie: | 343,9° |
| Epocha: | 2025 OCT 08 22:26:38 |
|