🇳🇴 🇬🇧 🇩🇪 🇨🇿 🇫🇮

Meteor over Ã…mot 2025-10-08 22:26:38 UTC

KML-fil  |  Interaktivt kart

Kartet viser peilingene for meteoren. De lysere linjene viser retningene fra observasjonsstedene for meteorens tilsynekomst, og de mørkere linjene viser hvor den sist kunne sees. Den blå pila viser meteorens synlige ferd.

static map
height profile
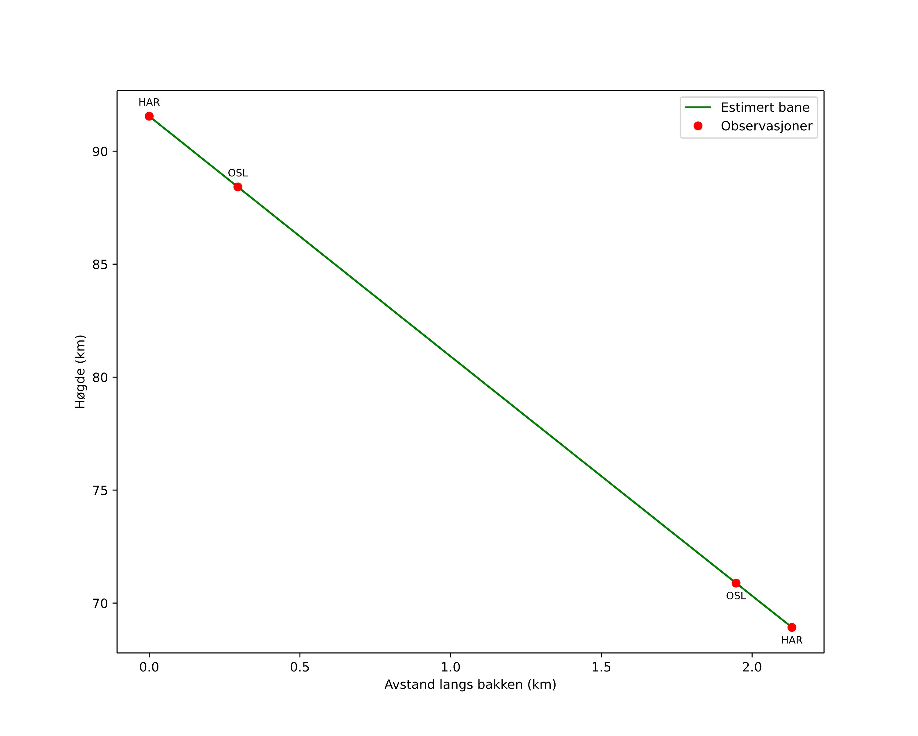
Meteorens atmosfæriske bane:
Starthøgde: 90,9 km
Slutthøgde: 68,9 km
Startposisjon: 59,662N 8,297E
Sluttposisjon: 59,662N 8,233E
Retning: 270,6°
Fallvinkel: 80,7°
Inngangshastighet: 35,4 km/s
Radiantens rektascensjon: 01:19 (19,9°)
Radiantens deklinasjon: 58,0°
Meteorsverm: sporadisk
Meteoroidens baneelement:
Perihelavstand: 0,585 AU
Eksentrisitet: 0,709
Inklinasjon: 52,8°
Knutelengde: 195,5°
Perihelargument: 269,9°
Midlere anomali: 343,9°
Epoke: 2025 OCT 08 22:26:38
orbit plot

Ikke-interaktivt plott | Interaktivt plott

position vs time
speed and acceleration

Harestua (HAR) cam4


gnomonic
Videoer
• Gnomonisk
• Gnomonisk med koordinater
• Original
• Original med koordinater
Bilder
• Gnomonisk
• Gnomonisk med koordinater
• Original
• Original med koordinater
Tekstfiler
• Deteksjon
• Observasjon
• Koordinater
• Logg
Lysstyrke

Voksenlia (OSL) cam2


gnomonic
Videoer
• Gnomonisk
• Gnomonisk med koordinater
• Original
• Original med koordinater
Bilder
• Gnomonisk
• Gnomonisk med koordinater
• Original
• Original med koordinater
Tekstfiler
• Deteksjon
• Observasjon
• Koordinater
• Logg
Lysstyrke