🇳🇴 🇬🇧 🇩🇪 🇨🇿 🇫🇮

Meteor over Brumunddal 2025-10-09 00:33:32 UTC

KML-fil

Kartet viser peilingene for meteoren. De lysere linjene viser retningene fra observasjonsstedene for meteorens tilsynekomst, og de mørkere linjene viser hvor den sist kunne sees. Den blå pila viser meteorens synlige ferd.

static map
height profile
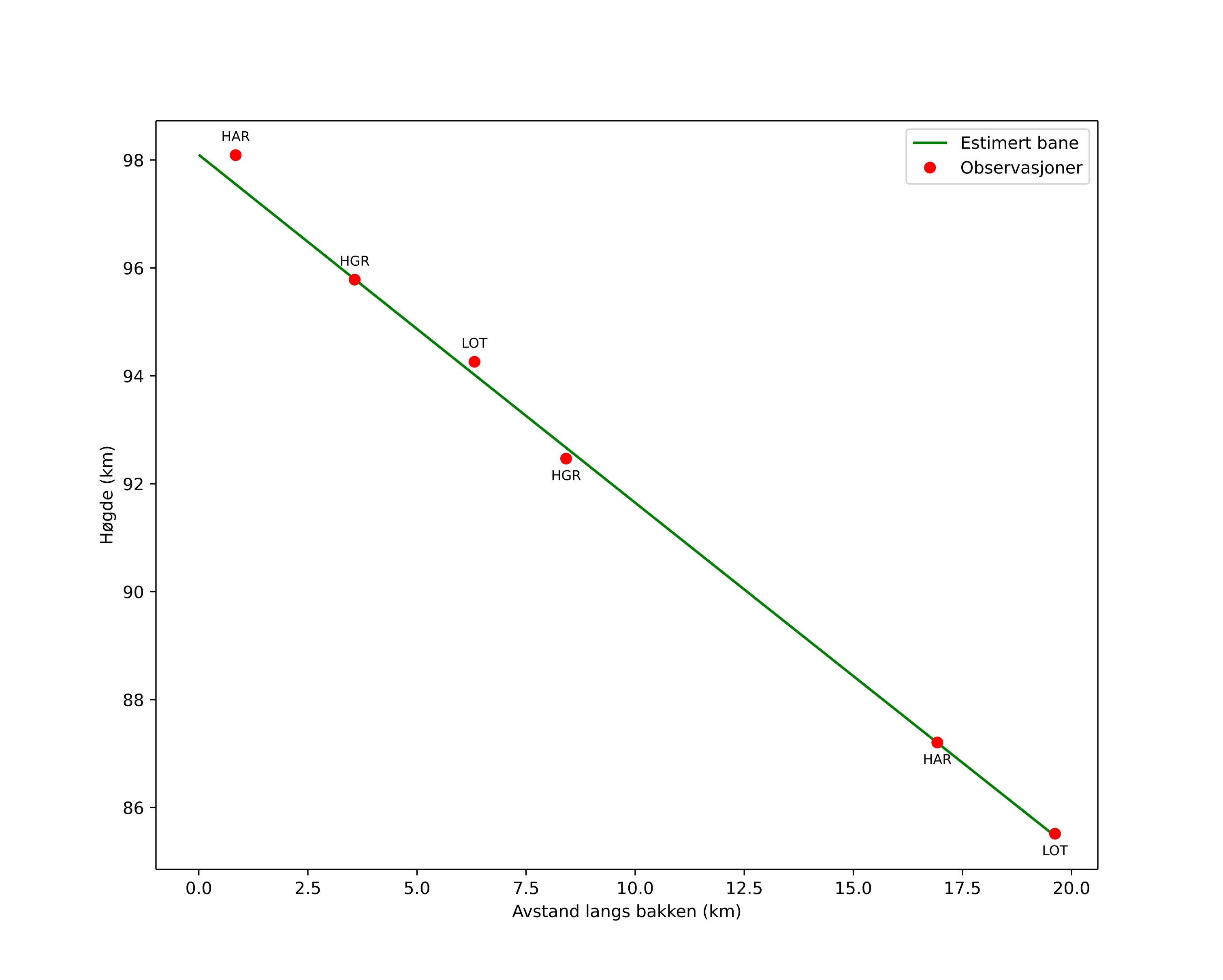
Meteorens atmosfæriske bane:
Starthøgde: 98,1 km
Slutthøgde: 85,5 km
Startposisjon: 60,787N 10,959E
Sluttposisjon: 60,961N 11,025E
Retning: 10,4°
Fallvinkel: 32,7°
Inngangshastighet: 29,1 km/s
Radiantens rektascensjon: 01:49 (27,4°)
Radiantens deklinasjon: 1,3°
Meteorsverm: Sørlige tauridene
Meteoroidens baneelement:
Perihelavstand: 0,402 AU
Eksentrisitet: 0,810
Inklinasjon: 9,9°
Knutelengde: 15,6°
Perihelargument: 109,6°
Midlere anomali: 345,9°
Epoke: 2025 OCT 09 00:33:32
orbit plot

Ikke-interaktivt plott

position vs time
speed and acceleration

Hagar (HGR) cam7


gnomonic
Videoer
• Gnomonisk
• Gnomonisk med koordinater
• Original
• Original (HEVC)
• Original med koordinater
Bilder
• Gnomonisk
• Gnomonisk med koordinater
• Original
• Original med koordinater
Tekstfiler
• Deteksjon
• Observasjon
• Koordinater
• Logg
Lysstyrke

Harestua (HAR) cam6


gnomonic
Videoer
• Gnomonisk
• Gnomonisk med koordinater
• Original
• Original (HEVC)
• Original med koordinater
Bilder
• Gnomonisk
• Gnomonisk med koordinater
• Original
• Original med koordinater
Tekstfiler
• Deteksjon
• Observasjon
• Koordinater
• Logg
Lysstyrke

Loten (LOT) cam6


gnomonic
Videoer
• Gnomonisk
• Gnomonisk med koordinater
• Original
• Original (HEVC)
• Original med koordinater
Bilder
• Gnomonisk
• Gnomonisk med koordinater
• Original
• Original med koordinater
Tekstfiler
• Deteksjon
• Observasjon
• Koordinater
• Logg
Lysstyrke