🇳🇴 🇬🇧 🇩🇪 🇨🇿 🇫🇮

Meteor over Evenskjer 2025-10-09 23:31:20 UTC

KML-fil  |  Interaktivt kart

Kartet viser peilingene for meteoren. De lysere linjene viser retningene fra observasjonsstedene for meteorens tilsynekomst, og de mørkere linjene viser hvor den sist kunne sees. Den blå pila viser meteorens synlige ferd.

static map
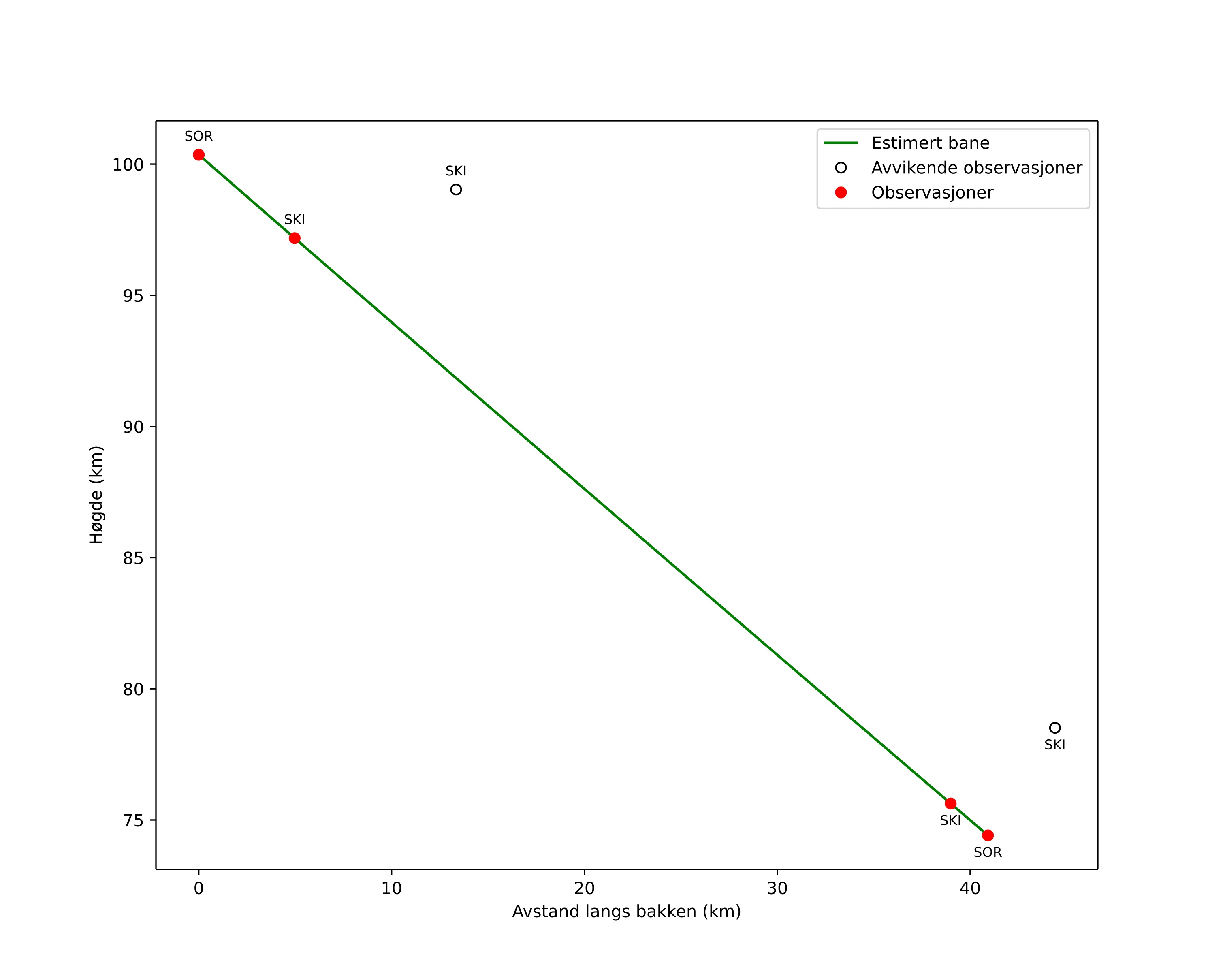
height profile
Meteorens atmosfæriske bane:
Starthøgde: 104,2 km
Slutthøgde: 74,3 km
Startposisjon: 68,081N 16,415E
Sluttposisjon: 68,494N 16,292E
Retning: 353,8°
Fallvinkel: 32,9°
Inngangshastighet: 33,3 km/s
Radiantens rektascensjon: 02:10 (32,7°)
Radiantens deklinasjon: 9,1°
Meteorsverm: sporadisk
Meteoroidens baneelement:
Perihelavstand: 0,257 AU
Eksentrisitet: 0,878
Inklinasjon: 5,8°
Knutelengde: 16,6°
Perihelargument: 126,1°
Midlere anomali: 347,1°
Epoke: 2025 OCT 09 23:31:20
orbit plot

Ikke-interaktivt plott | Interaktivt plott

position vs time
speed and acceleration

Skibotn (SKI) cam4


gnomonic
Videoer
• Gnomonisk
• Gnomonisk med koordinater
• Original
• Original med koordinater
Bilder
• Gnomonisk
• Gnomonisk med koordinater
• Original
• Original med koordinater
Tekstfiler
• Deteksjon
• Observasjon
• Koordinater
• Logg
Lysstyrke

Skibotn (SKI) cam5


gnomonic
Videoer
• Gnomonisk
• Gnomonisk med koordinater
• Original
• Original med koordinater
Bilder
• Gnomonisk
• Gnomonisk med koordinater
• Original
• Original med koordinater
Tekstfiler
• Deteksjon
• Observasjon
• Koordinater
• Logg
Lysstyrke

Sorreisa (SOR) cam4


gnomonic
Videoer
• Gnomonisk
• Gnomonisk med koordinater
• Original
• Original med koordinater
Bilder
• Gnomonisk
• Gnomonisk med koordinater
• Original
• Original med koordinater
Tekstfiler
• Deteksjon
• Observasjon
• Koordinater
• Logg
Lysstyrke