🇳🇴 🇬🇧 🇩🇪 🇨🇿 🇫🇮

Meteor Kragerøin yllä 2025-10-10 00:38:09 UTC

KML-tiedosto  |  Interaktiivinen kartta

Kartta näyttää meteorin suuntahavainnot. Vaaleammat viivat näyttävät suunnat havaintoasemilta meteorin ilmestyessä, ja tummemmat viivat näyttävät, missä se viimeksi nähtiin. Sininen nuoli näyttää meteorin näkyvän lennon.

static map
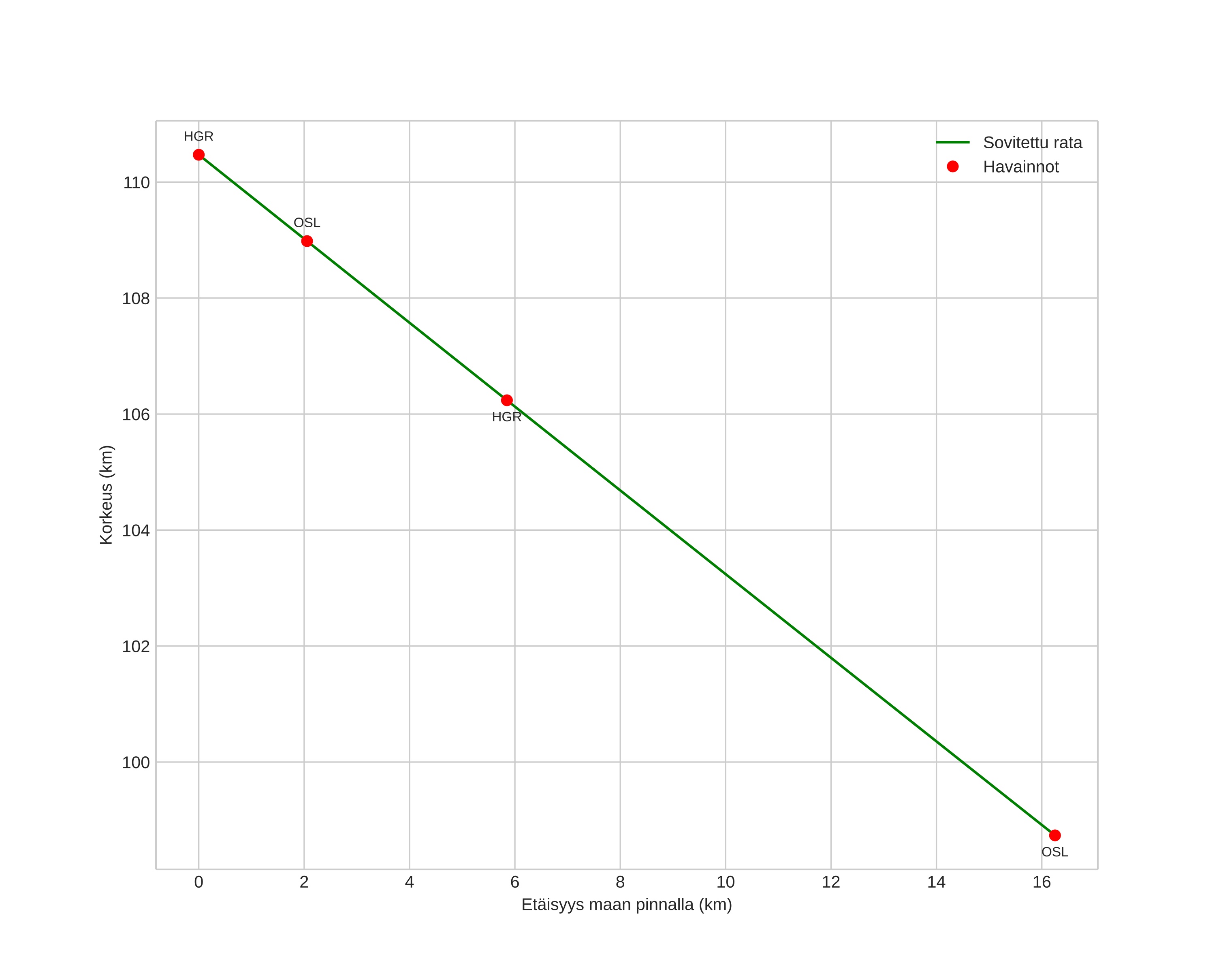
height profile
Meteorin ilmakehärata:
Alkukorkeus: 106,6 km
Loppukorkeus: 96,0 km
Alkupiste: 58,902N 9,479E
Loppupiste: 58,978N 9,278E
Suunta: 306,6°
Kallistuskulma: 36,6°
Tulonopeus: 65,3 km/s
Radiantin R,A,: 05:17 (79,4°)
Radiantin Dekl,: 14,8°
Meteoriparvi: Orionidit
Meteoroidin rataelementit:
Perihelietäisyys: 0,465 AU
Eksentrisyys: 0,941
Inklinaatio: 161,1°
Nousevan solmun pituus: 16,6°
Perihelin argumentti: 95,9°
Keskianomalia: 358,2°
Epookki: 2025 OCT 10 00:38:09
orbit plot

Ei-interaktiivinen kuvaaja | Interaktiivinen kuvaaja

position vs time
speed and acceleration

Hagar (HGR) cam5


gnomonic
Videot:
• Gnomoninen
• Gnomoninen koordinaateilla
• Alkuperäinen
• Alkuperäinen koordinaateilla
Kuvat:
• Gnomoninen
• Gnomoninen koordinaateilla
• Alkuperäinen
• Alkuperäinen koordinaateilla
Tekstitiedostot:
• Havaintoraportti
• Observaatio
• Koordinaatit
• Loki
Kirkkaus

Voksenlia (OSL) cam3


gnomonic
Videot:
• Gnomoninen
• Gnomoninen koordinaateilla
• Alkuperäinen
• Alkuperäinen koordinaateilla
Kuvat:
• Gnomoninen
• Gnomoninen koordinaateilla
• Alkuperäinen
• Alkuperäinen koordinaateilla
Tekstitiedostot:
• Havaintoraportti
• Observaatio
• Koordinaatit
• Loki
Kirkkaus