🇳🇴 🇬🇧 🇩🇪 🇨🇿 🇫🇮

Meteor Tromsøin yllä 2025-10-10 00:58:24 UTC

KML-tiedosto  |  Interaktiivinen kartta

Kartta näyttää meteorin suuntahavainnot. Vaaleammat viivat näyttävät suunnat havaintoasemilta meteorin ilmestyessä, ja tummemmat viivat näyttävät, missä se viimeksi nähtiin. Sininen nuoli näyttää meteorin näkyvän lennon.

static map
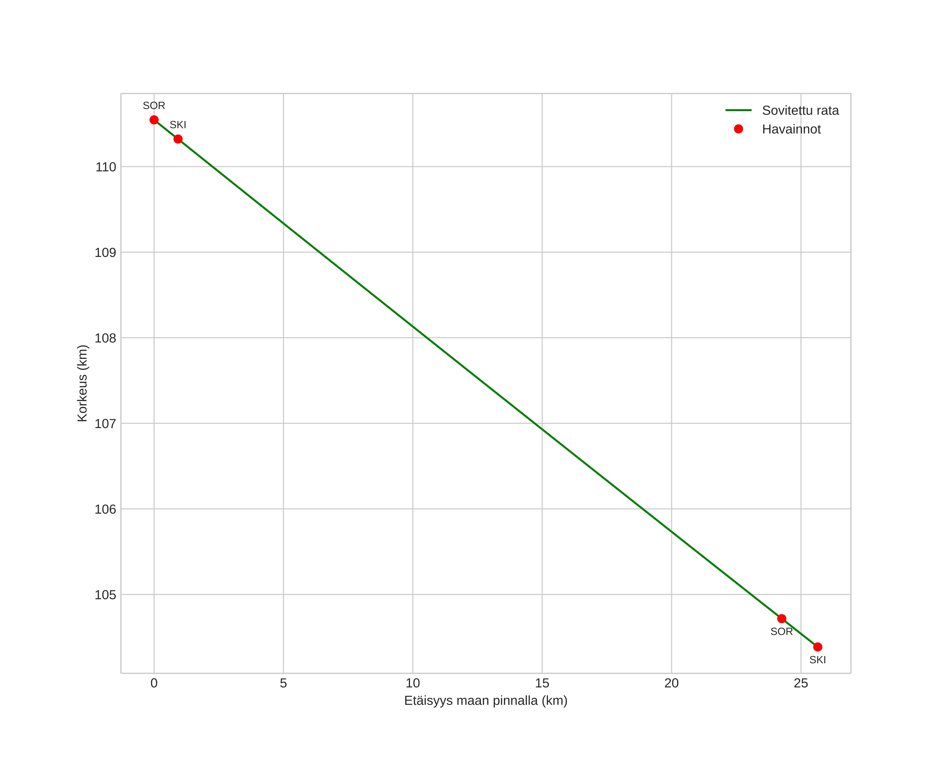
height profile
Meteorin ilmakehärata:
Alkukorkeus: 111,2 km
Loppukorkeus: 104,2 km
Alkupiste: 71,166N 19,192E
Loppupiste: 71,239N 18,426E
Suunta: 287,0°
Kallistuskulma: 13,7°
Tulonopeus: 73,0 km/s
Radiantin R,A,: 08:08 (122,0°)
Radiantin Dekl,: 7,2°
Meteoriparvi: Sporadinen
Meteoroidin rataelementit:
Perihelietäisyys: 0,840 AU
Eksentrisyys: 1,238
Inklinaatio: 157,3°
Nousevan solmun pituus: 16,6°
Perihelin argumentti: 315,5°
Keskianomalia: 3,9°
Epookki: 2025 OCT 10 00:58:24
orbit plot

Ei-interaktiivinen kuvaaja | Interaktiivinen kuvaaja

position vs time
speed and acceleration

Skibotn (SKI) cam1


gnomonic
Videot:
• Gnomoninen
• Gnomoninen koordinaateilla
• Alkuperäinen
• Alkuperäinen koordinaateilla
Kuvat:
• Gnomoninen
• Gnomoninen koordinaateilla
• Alkuperäinen
• Alkuperäinen koordinaateilla
Tekstitiedostot:
• Havaintoraportti
• Observaatio
• Koordinaatit
• Loki
Kirkkaus

Sorreisa (SOR) cam1


gnomonic
Videot:
• Gnomoninen
• Gnomoninen koordinaateilla
• Alkuperäinen
• Alkuperäinen koordinaateilla
Kuvat:
• Gnomoninen
• Gnomoninen koordinaateilla
• Alkuperäinen
• Alkuperäinen koordinaateilla
Tekstitiedostot:
• Havaintoraportti
• Observaatio
• Koordinaatit
• Loki
Kirkkaus