Atmosférická dráha meteoru:
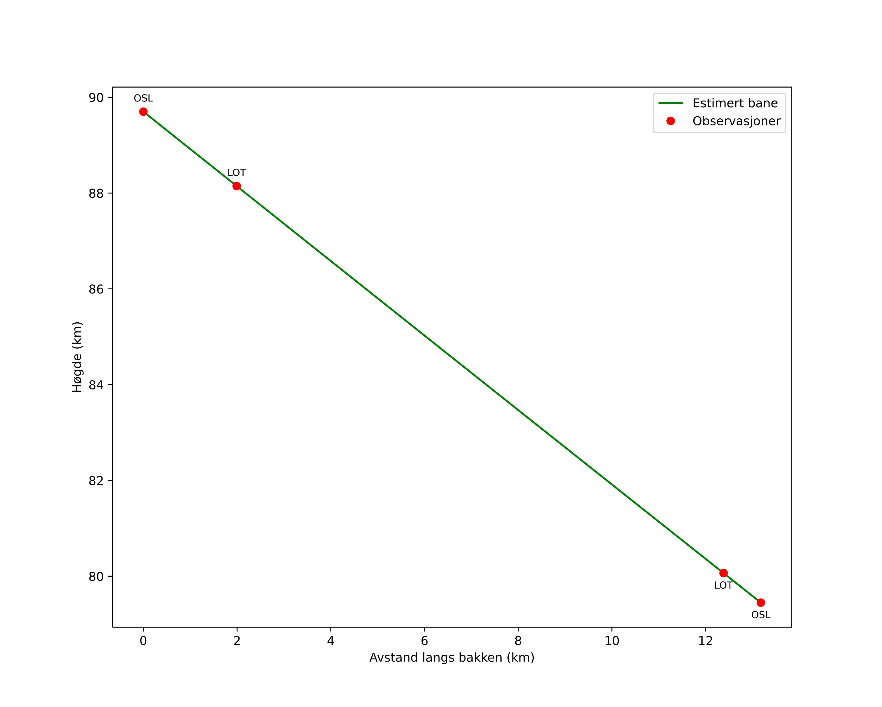
| Počátečnà výška: | 92,0 km |
| Konečná výška: | 79,7 km |
| Počátečnà poloha: | 60,623N 10,556E |
| Konečná poloha: | 60,751N 10,734E |
| Směr: | 34,2° |
| Sklon: | 35,5° |
| VstupnĂ rychlost: | 37,2 km/s |
| Rektascenze radiantu: | 02:11 (33,0°) |
| Deklinace radiantu: | 8,6° |
| MeteorickĂ˝ roj: | sporadickĂ˝ |
|
Elementy dráhy meteoroidu:
| Vzdálenost v periheliu: | 0,222 AU |
| Excentricita: | 0,948 |
| Sklon dráhy: | 7,9° |
| Délka vzestupného uzlu: | 16,7° |
| Argument perihelia: | 126,7° |
| Střednà anomálie: | 355,9° |
| Epocha: | 2025 OCT 10 02:08:50 |
|