🇳🇴 🇬🇧 🇩🇪 🇨🇿 🇫🇮

Meteor Gjøvikin yllä 2025-10-10 02:08:50 UTC

KML-tiedosto  |  Interaktiivinen kartta

Kartta näyttää meteorin suuntahavainnot. Vaaleammat viivat näyttävät suunnat havaintoasemilta meteorin ilmestyessä, ja tummemmat viivat näyttävät, missä se viimeksi nähtiin. Sininen nuoli näyttää meteorin näkyvän lennon.

static map
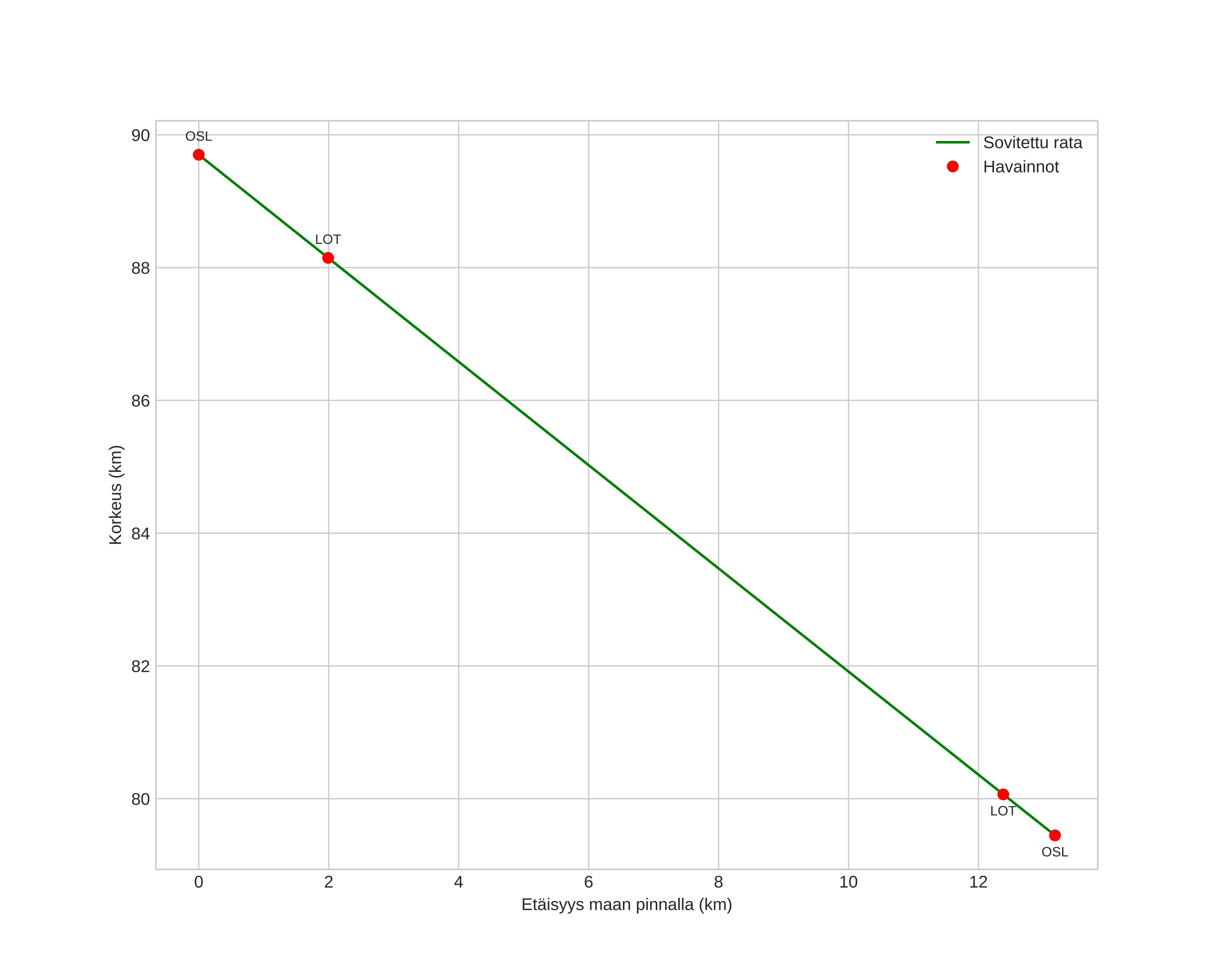
height profile
Meteorin ilmakehärata:
Alkukorkeus: 92,0 km
Loppukorkeus: 79,7 km
Alkupiste: 60,623N 10,556E
Loppupiste: 60,751N 10,734E
Suunta: 34,2°
Kallistuskulma: 35,5°
Tulonopeus: 37,2 km/s
Radiantin R,A,: 02:11 (33,0°)
Radiantin Dekl,: 8,6°
Meteoriparvi: Sporadinen
Meteoroidin rataelementit:
Perihelietäisyys: 0,222 AU
Eksentrisyys: 0,948
Inklinaatio: 7,9°
Nousevan solmun pituus: 16,7°
Perihelin argumentti: 126,7°
Keskianomalia: 355,9°
Epookki: 2025 OCT 10 02:08:50
orbit plot

Ei-interaktiivinen kuvaaja | Interaktiivinen kuvaaja

position vs time
speed and acceleration

Loten (LOT) cam7


gnomonic
Videot:
• Gnomoninen
• Gnomoninen koordinaateilla
• Alkuperäinen
• Alkuperäinen koordinaateilla
Kuvat:
• Gnomoninen
• Gnomoninen koordinaateilla
• Alkuperäinen
• Alkuperäinen koordinaateilla
Tekstitiedostot:
• Havaintoraportti
• Observaatio
• Koordinaatit
• Loki
Kirkkaus

Voksenlia (OSL) cam1


gnomonic
Videot:
• Gnomoninen
• Gnomoninen koordinaateilla
• Alkuperäinen
• Alkuperäinen koordinaateilla
Kuvat:
• Gnomoninen
• Gnomoninen koordinaateilla
• Alkuperäinen
• Alkuperäinen koordinaateilla
Tekstitiedostot:
• Havaintoraportti
• Observaatio
• Koordinaatit
• Loki
Kirkkaus