🇳🇴 🇬🇧 🇩🇪 🇨🇿 🇫🇮

Meteor over Vågåmo 2025-10-11 03:48:30 UTC

KML-fil  |  Interaktivt kart

Kartet viser peilingene for meteoren. De lysere linjene viser retningene fra observasjonsstedene for meteorens tilsynekomst, og de mørkere linjene viser hvor den sist kunne sees. Den blå pila viser meteorens synlige ferd.

static map
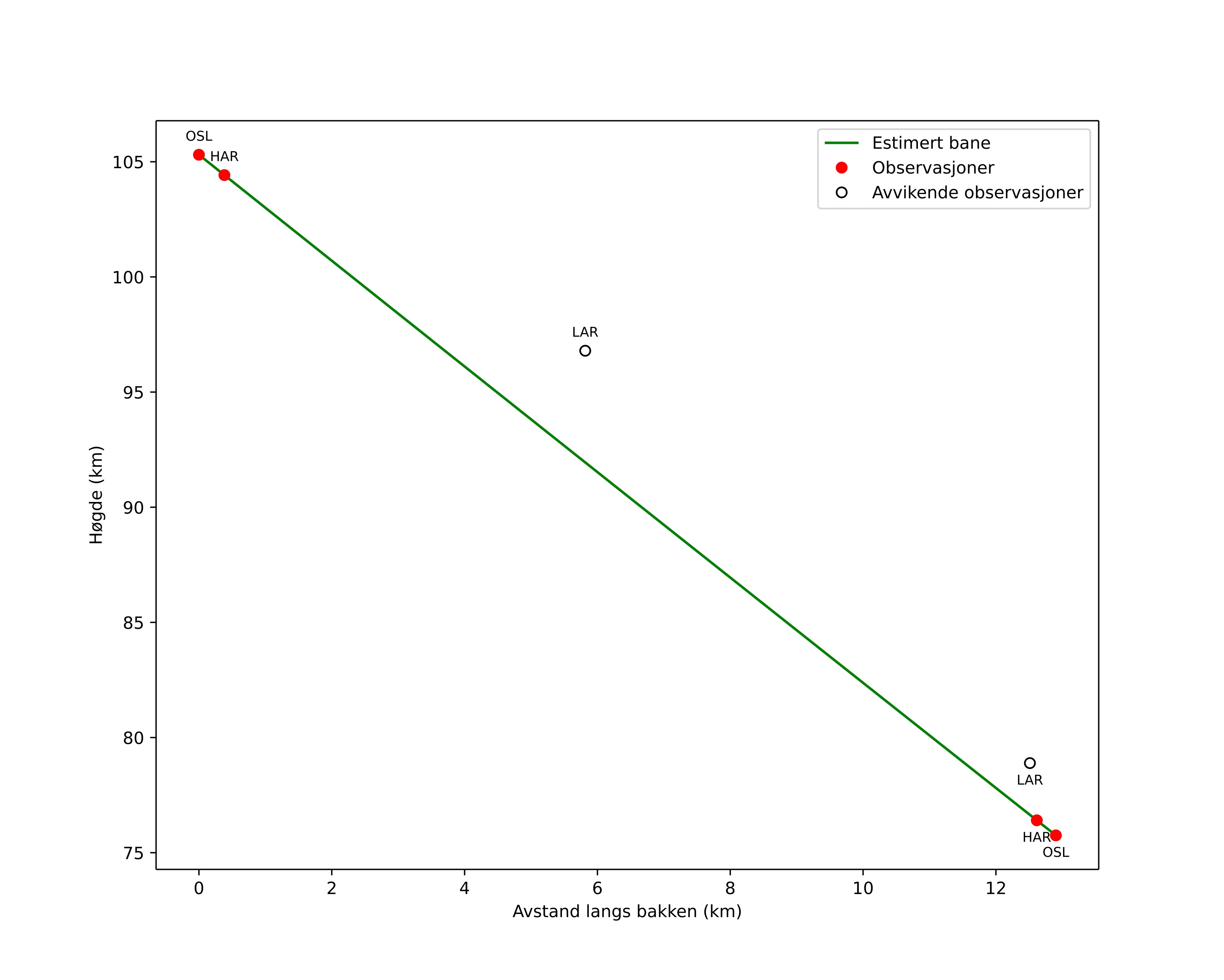
height profile
Meteorens atmosfæriske bane:
Starthøgde: 102,7 km
Slutthøgde: 73,6 km
Startposisjon: 61,578N 9,275E
Sluttposisjon: 61,693N 9,230E
Retning: 349,6°
Fallvinkel: 66,0°
Inngangshastighet: 56,1 km/s
Radiantens rektascensjon: 06:03 (91,0°)
Radiantens deklinasjon: 37,4°
Meteorsverm: Delta-aurigidene
Meteoroidens baneelement:
Perihelavstand: 0,457 AU
Eksentrisitet: 0,540
Inklinasjon: 147,9°
Knutelengde: 197,7°
Perihelargument: 303,2°
Midlere anomali: 300,2°
Epoke: 2025 OCT 11 03:48:30
orbit plot

Ikke-interaktivt plott | Interaktivt plott

position vs time
speed and acceleration

Harestua (HAR) cam5


gnomonic
Videoer
• Gnomonisk
• Gnomonisk med koordinater
• Original
• Original med koordinater
Bilder
• Gnomonisk
• Gnomonisk med koordinater
• Original
• Original med koordinater
Tekstfiler
• Deteksjon
• Observasjon
• Koordinater
• Logg
Lysstyrke

Larvik (LAR) cam1


gnomonic
Videoer
• Gnomonisk
• Gnomonisk med koordinater
• Original
• Original med koordinater
Bilder
• Gnomonisk
• Gnomonisk med koordinater
• Original
• Original med koordinater
Tekstfiler
• Deteksjon
• Observasjon
• Koordinater
• Logg
Lysstyrke

Voksenlia (OSL) cam1


gnomonic
Videoer
• Gnomonisk
• Gnomonisk med koordinater
• Original
• Original med koordinater
Bilder
• Gnomonisk
• Gnomonisk med koordinater
• Original
• Original med koordinater
Tekstfiler
• Deteksjon
• Observasjon
• Koordinater
• Logg
Lysstyrke