🇳🇴 🇬🇧 🇩🇪 🇨🇿 🇫🇮

Meteor über Vågåmo 2025-10-11 03:48:30 UTC

KML-Datei

Die Karte zeigt die Peilungen für den Meteor. Die helleren Linien zeigen die Richtungen von den Beobachtungsorten beim Erscheinen des Meteors, und die dunkleren Linien, wo er zuletzt gesehen wurde. Der blaue Pfeil zeigt die sichtbare Bahn des Meteors.

static map
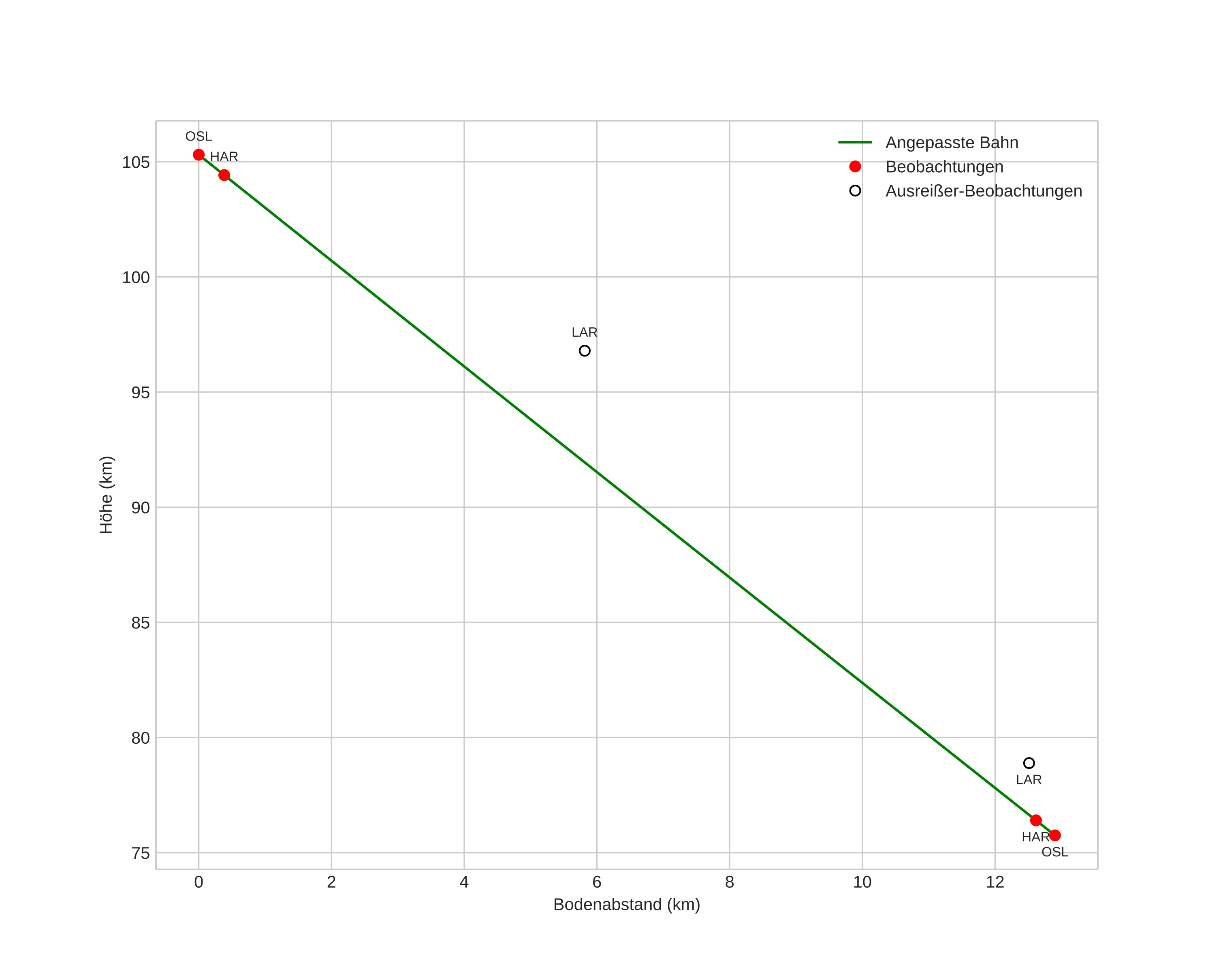
height profile
Atmosphärische Bahn des Meteors:
Anfangshöhe: 105,3 km
Endhöhe: 75,8 km
Startposition: 61,616N 9,240E
Endposition: 61,730N 9,197E
Richtung: 349,9°
Neigungswinkel: 66,4°
Eintrittsgeschwindigkeit: 56,9 km/s
Rektaszension des Radianten: 06:02 (90,7°)
Deklination des Radianten: 37,9°
Meteorstrom: Delta-Aurigiden
Bahnelemente des Meteoroiden:
Periheldistanz: 0,487 AU
Exzentrizität: 0,539
Inklination: 147,5°
Länge des aufsteigenden Knotens: 197,7°
Argument des Perihels: 297,6°
Mittlere Anomalie: 306,4°
Epoche: 2025 OCT 11 03:48:30
orbit plot

Nicht-interaktives Diagramm

position vs time
speed and acceleration

Harestua (HAR) cam5


gnomonic
Videos
• Gnomonisch
• Gnomonisch mit Koordinaten
• Original
• Original (HEVC)
• Original mit Koordinaten
Bilder
• Gnomonisch
• Gnomonisch mit Koordinaten
• Original
• Original mit Koordinaten
Textdateien
• Erkennung
• Beobachtung
• Koordinaten
• Protokoll
Helligkeit

Larvik (LAR) cam1


gnomonic
Videos
• Gnomonisch
• Gnomonisch mit Koordinaten
• Original
• Original (HEVC)
• Original mit Koordinaten
Bilder
• Gnomonisch
• Gnomonisch mit Koordinaten
• Original
• Original mit Koordinaten
Textdateien
• Erkennung
• Beobachtung
• Koordinaten
• Protokoll
Helligkeit

Voksenlia (OSL) cam1


gnomonic
Videos
• Gnomonisch
• Gnomonisch mit Koordinaten
• Original
• Original (HEVC)
• Original mit Koordinaten
Bilder
• Gnomonisch
• Gnomonisch mit Koordinaten
• Original
• Original mit Koordinaten
Textdateien
• Erkennung
• Beobachtung
• Koordinaten
• Protokoll
Helligkeit