🇳🇴 🇬🇧 🇩🇪 🇨🇿 🇫🇮

Meteor über Roa 2025-10-11 22:49:06 UTC

KML-Datei

Die Karte zeigt die Peilungen für den Meteor. Die helleren Linien zeigen die Richtungen von den Beobachtungsorten beim Erscheinen des Meteors, und die dunkleren Linien, wo er zuletzt gesehen wurde. Der blaue Pfeil zeigt die sichtbare Bahn des Meteors.

static map
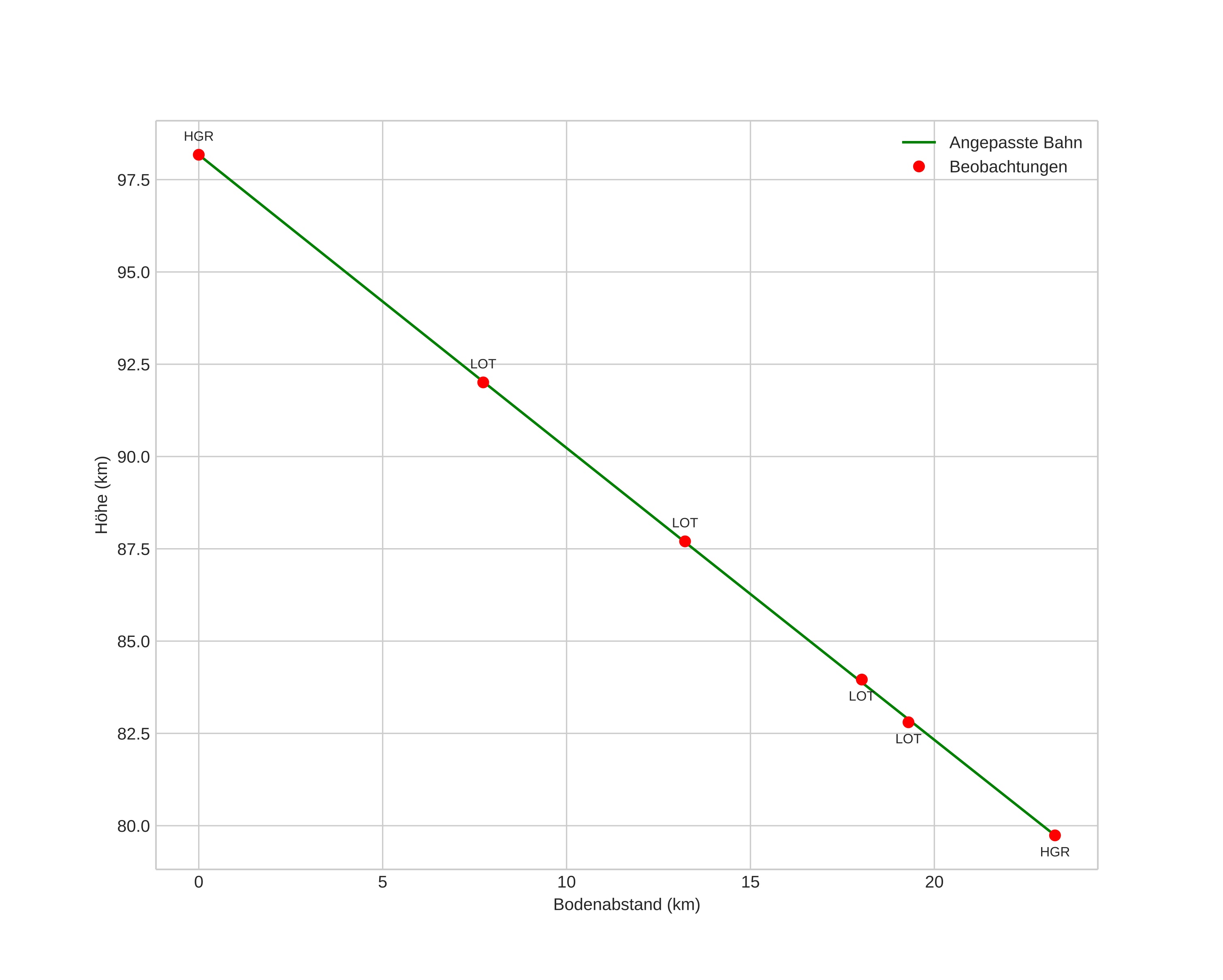
height profile
Atmosphärische Bahn des Meteors:
Anfangshöhe: 98,2 km
Endhöhe: 79,7 km
Startposition: 60,110N 10,769E
Endposition: 60,295N 10,571E
Richtung: 332,1°
Neigungswinkel: 38,5°
Eintrittsgeschwindigkeit: 31,5 km/s
Rektaszension des Radianten: 02:21 (35,3°)
Deklination des Radianten: 9,3°
Meteorstrom: Südliche Tauriden
Bahnelemente des Meteoroiden:
Periheldistanz: 0,272 AU
Exzentrizität: 0,838
Inklination: 6,3°
Länge des aufsteigenden Knotens: 18,5°
Argument des Perihels: 126,5°
Mittlere Anomalie: 341,0°
Epoche: 2025 OCT 11 22:49:06
orbit plot

Nicht-interaktives Diagramm

position vs time
speed and acceleration

Hagar (HGR) cam6


gnomonic
Videos
• Gnomonisch
• Gnomonisch mit Koordinaten
• Original
• Original (HEVC)
• Original mit Koordinaten
Bilder
• Gnomonisch
• Gnomonisch mit Koordinaten
• Original
• Original mit Koordinaten
Textdateien
• Erkennung
• Beobachtung
• Koordinaten
• Protokoll
Helligkeit

Loten (LOT) cam4


gnomonic
Videos
• Gnomonisch
• Gnomonisch mit Koordinaten
• Original
• Original (HEVC)
• Original mit Koordinaten
Bilder
• Gnomonisch
• Gnomonisch mit Koordinaten
• Original
• Original mit Koordinaten
Textdateien
• Erkennung
• Beobachtung
• Koordinaten
• Protokoll
Helligkeit

Loten (LOT) cam7


gnomonic
Videos
• Gnomonisch
• Gnomonisch mit Koordinaten
• Original
• Original (HEVC)
• Original mit Koordinaten
Bilder
• Gnomonisch
• Gnomonisch mit Koordinaten
• Original
• Original mit Koordinaten
Textdateien
• Erkennung
• Beobachtung
• Koordinaten
• Protokoll
Helligkeit