🇳🇴 🇬🇧 🇩🇪 🇨🇿 🇫🇮

Meteor over Elverum 2025-10-12 00:00:16 UTC

KML file

The map shows the bearings for the meteor. The lighter lines show the directions from the observation sites at the meteor's appearance, and the darker lines show where it was last seen. The blue arrow indicates the visible path of the meteor.

static map
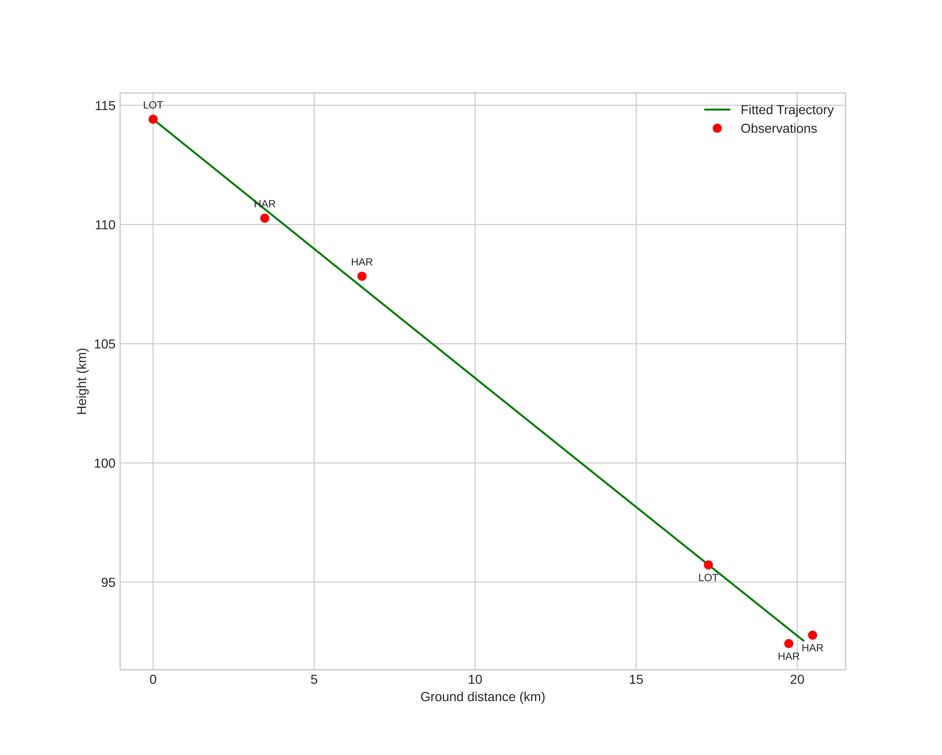
height profile
Meteor's Atmospheric Trajectory:
Start height: 114.4 km
End height: 92.5 km
Start position: 61.036N 12.192E
End position: 61.063N 11.821E
Direction: 278.7°
Inclination angle: 47.3°
Entry speed: 69.2 km/s
Radiant R.A.: 05:55 (88.9°)
Radiant Dec.: 36.2°
Meteor Shower: Delta Aurigids
Meteoroid's Orbital Elements:
Perihelion distance: 0.721 AU
Eccentricity: 1.032
Inclination: 155.4°
Long. of Asc. Node: 198.6°
Argument of Perihelion: 243.1°
Mean Anomaly: -0.3°
Epoch: 2025 OCT 12 00:00:16
orbit plot

Non-interactive plot

position vs time
speed and acceleration

Harestua (HAR) cam1


gnomonic
Videos
• Gnomonic
• Gnomonic with coordinates
• Original
• Original (HEVC)
• Original with coordinates
Images
• Gnomonic
• Gnomonic with coordinates
• Original
• Original with coordinates
Text Files
• Detection
• Observation
• Coordinates
• Log
Brightness

Harestua (HAR) cam2


gnomonic
Videos
• Gnomonic
• Gnomonic with coordinates
• Original
• Original (HEVC)
• Original with coordinates
Images
• Gnomonic
• Gnomonic with coordinates
• Original
• Original with coordinates
Text Files
• Detection
• Observation
• Coordinates
• Log
Brightness

Loten (LOT) cam6


gnomonic
Videos
• Gnomonic
• Gnomonic with coordinates
• Original
• Original (HEVC)
• Original with coordinates
Images
• Gnomonic
• Gnomonic with coordinates
• Original
• Original with coordinates
Text Files
• Detection
• Observation
• Coordinates
• Log
Brightness