🇳🇴 🇬🇧 🇩🇪 🇨🇿 🇫🇮

Meteor over Vik 2025-10-12 20:27:20 UTC

KML file

The map shows the bearings for the meteor. The lighter lines show the directions from the observation sites at the meteor's appearance, and the darker lines show where it was last seen. The blue arrow indicates the visible path of the meteor.

static map
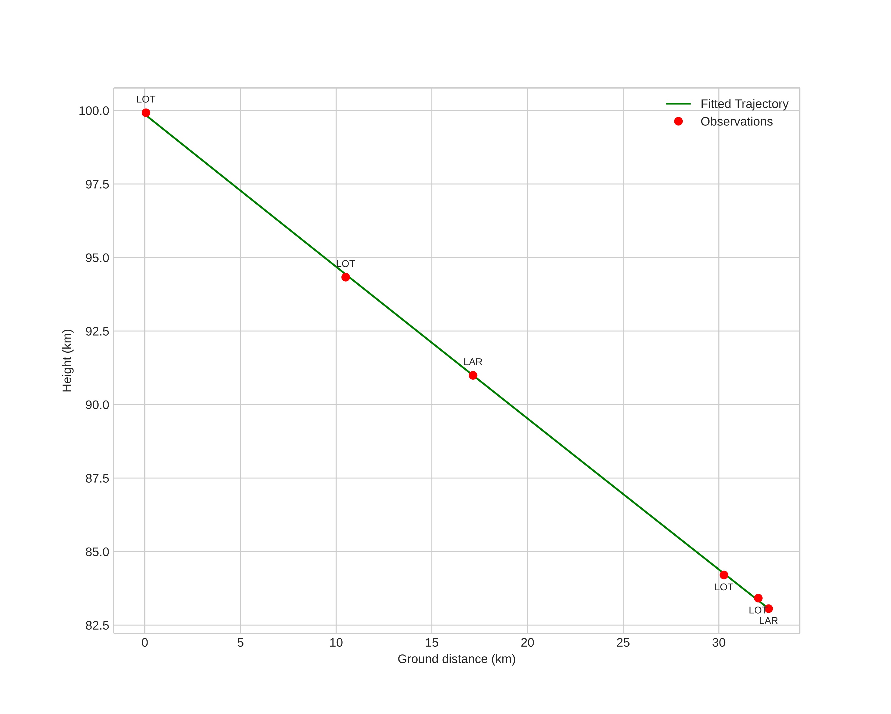
height profile
Meteor's Atmospheric Trajectory:
Start height: 99.9 km
End height: 83.1 km
Start position: 59.938N 10.686E
End position: 60.072N 10.164E
Direction: 297.4°
Inclination angle: 27.3°
Entry speed: 30.3 km/s
Radiant R.A.: 02:12 (33.1°)
Radiant Dec.: 8.7°
Meteor Shower: Southern Taurids
Meteoroid's Orbital Elements:
Perihelion distance: 0.325 AU
Eccentricity: 0.819
Inclination: 5.3°
Long. of Asc. Node: 19.4°
Argument of Perihelion: 119.7°
Mean Anomaly: 342.4°
Epoch: 2025 OCT 12 20:27:20
orbit plot

Non-interactive plot

position vs time
speed and acceleration

Larvik (LAR) cam1


gnomonic
Videos
• Gnomonic
• Gnomonic with coordinates
• Original
• Original (HEVC)
• Original with coordinates
Images
• Gnomonic
• Gnomonic with coordinates
• Original
• Original with coordinates
Text Files
• Detection
• Observation
• Coordinates
• Log
Brightness

Loten (LOT) cam4


gnomonic
Videos
• Gnomonic
• Gnomonic with coordinates
• Original
• Original (HEVC)
• Original with coordinates
Images
• Gnomonic
• Gnomonic with coordinates
• Original
• Original with coordinates
Text Files
• Detection
• Observation
• Coordinates
• Log
Brightness

Loten (LOT) cam7


gnomonic
Videos
• Gnomonic
• Gnomonic with coordinates
• Original
• Original (HEVC)
• Original with coordinates
Images
• Gnomonic
• Gnomonic with coordinates
• Original
• Original with coordinates
Text Files
• Detection
• Observation
• Coordinates
• Log
Brightness