🇳🇴 🇬🇧 🇩🇪 🇨🇿 🇫🇮

Meteor, poloha: Kirkja 2025-10-12 21:43:44 UTC

Soubor KML  |  Interaktivní mapa

Mapa zobrazuje dráhy meteoru. Světlejší čáry ukazují směry od pozorovacích stanic při objevení se meteoru a tmavší čáry, kde byl naposledy viděn. Modrá šipka značí viditelnou dráhu meteoru.

static map
height profile
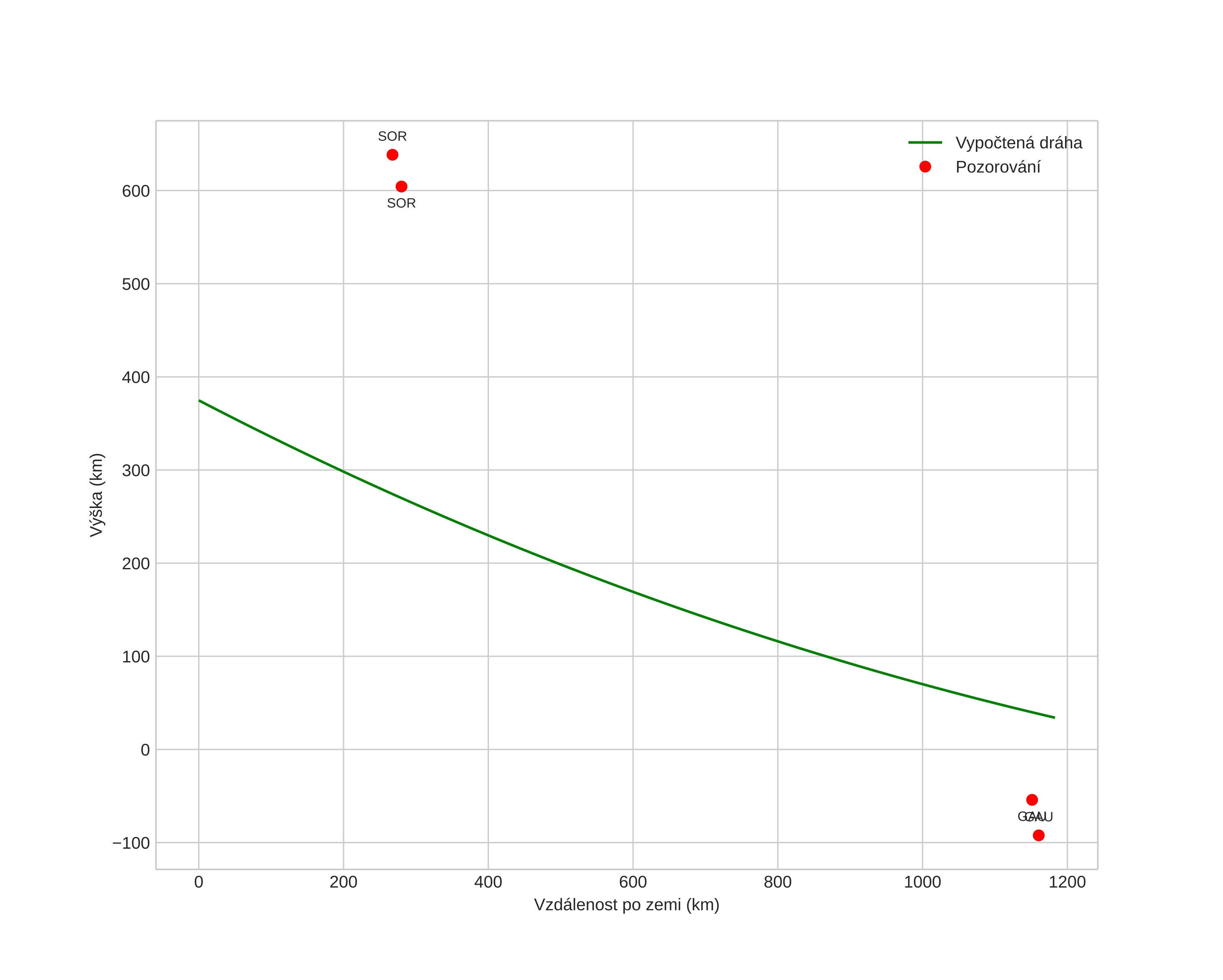
Atmosférická dráha meteoru:
Počáteční výška: 363,8 km
Konečná výška: 59,7 km
Počáteční poloha: 61,031N 17,820E
Konečná poloha: 62,169N -4,386E
Směr: 285,9°
Sklon: 14,5°
orbit plot

Neinteraktivní graf | Interaktivní graf

position vs time
speed and acceleration