🇳🇴 🇬🇧 🇩🇪 🇨🇿 🇫🇮

Meteor over Jevnaker 2025-10-12 22:14:53 UTC

KML file

The map shows the bearings for the meteor. The lighter lines show the directions from the observation sites at the meteor's appearance, and the darker lines show where it was last seen. The blue arrow indicates the visible path of the meteor.

static map
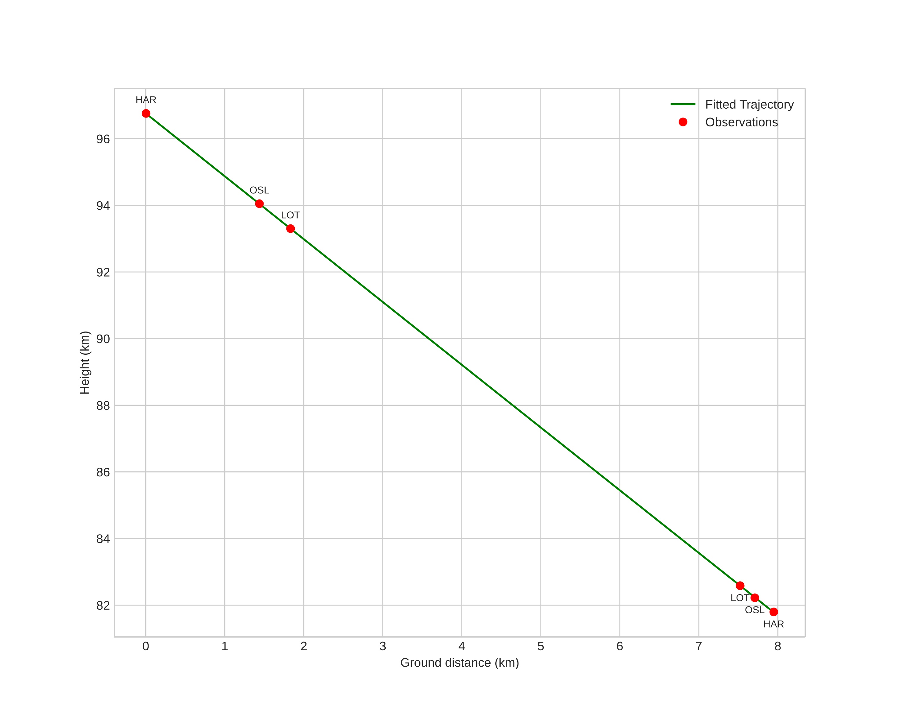
height profile
Meteor's Atmospheric Trajectory:
Start height: 96.8 km
End height: 81.8 km
Start position: 60.148N 10.320E
End position: 60.208N 10.398E
Direction: 33.1°
Inclination angle: 62.1°
Entry speed: 20.1 km/s
Radiant R.A.: 23:01 (345.5°)
Radiant Dec.: 32.0°
Meteor Shower: sporadic
Meteoroid's Orbital Elements:
Perihelion distance: 0.840 AU
Eccentricity: 0.685
Inclination: 15.7°
Long. of Asc. Node: 199.5°
Argument of Perihelion: 232.3°
Mean Anomaly: 352.0°
Epoch: 2025 OCT 12 22:14:53
orbit plot

Non-interactive plot

position vs time
speed and acceleration

Harestua (HAR) cam7


gnomonic
Videos
• Gnomonic
• Gnomonic with coordinates
• Original
• Original (HEVC)
• Original with coordinates
Images
• Gnomonic
• Gnomonic with coordinates
• Original
• Original with coordinates
Text Files
• Detection
• Observation
• Coordinates
• Log
Brightness

Loten (LOT) cam7


gnomonic
Videos
• Gnomonic
• Gnomonic with coordinates
• Original
• Original (HEVC)
• Original with coordinates
Images
• Gnomonic
• Gnomonic with coordinates
• Original
• Original with coordinates
Text Files
• Detection
• Observation
• Coordinates
• Log
Brightness

Voksenlia (OSL) cam7


gnomonic
Videos
• Gnomonic
• Gnomonic with coordinates
• Original
• Original (HEVC)
• Original with coordinates
Images
• Gnomonic
• Gnomonic with coordinates
• Original
• Original with coordinates
Text Files
• Detection
• Observation
• Coordinates
• Log
Brightness