🇳🇴 🇬🇧 🇩🇪 🇨🇿 🇫🇮

Meteor, poloha: Andenes 2025-10-13 00:59:07 UTC

Soubor KML  |  InteraktivnĂ­ mapa

Mapa zobrazuje dráhy meteoru. Světlejší čáry ukazují směry od pozorovacích stanic při objevení se meteoru a tmavší čáry, kde byl naposledy viděn. Modrá šipka značí viditelnou dráhu meteoru.

static map
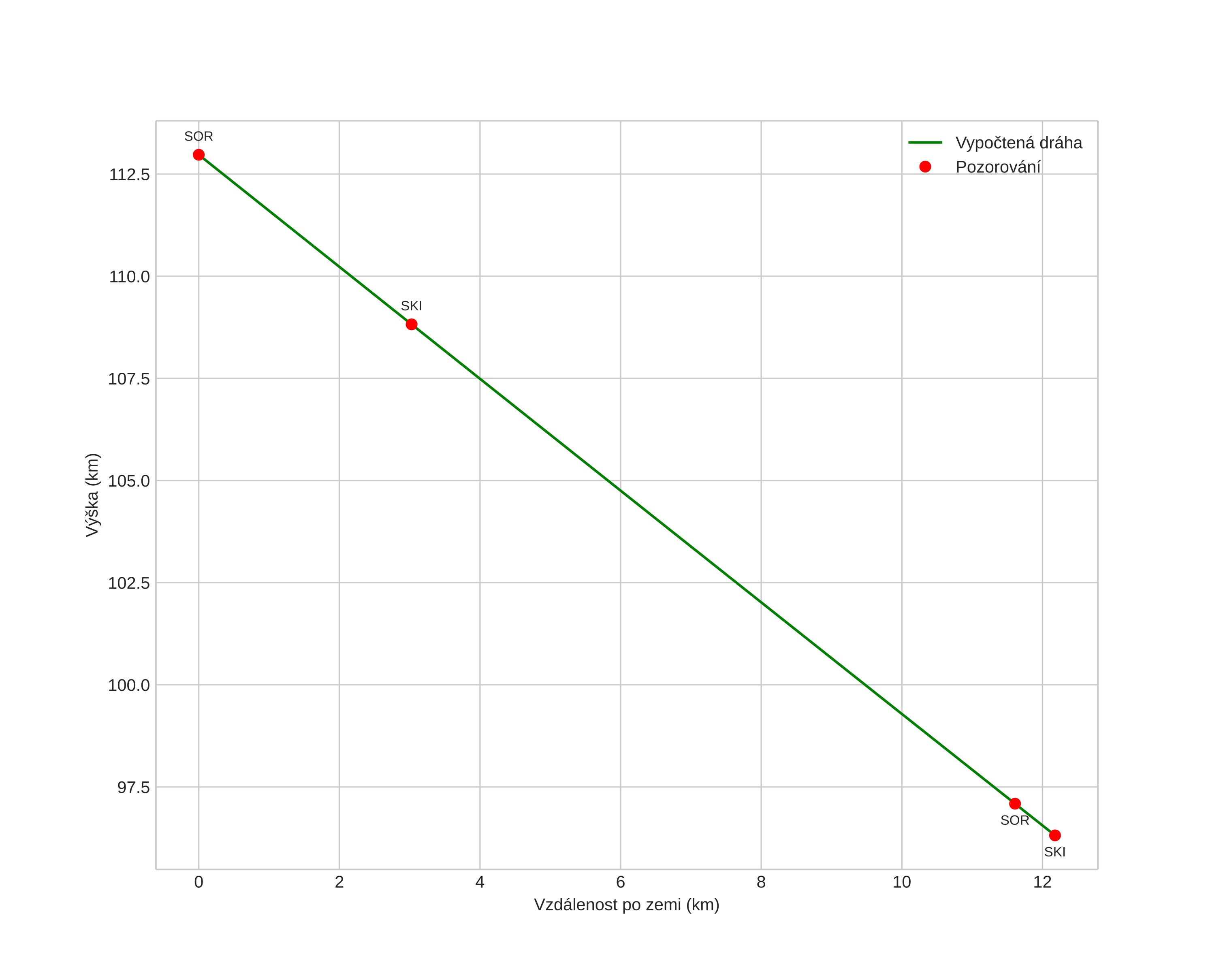
height profile
Atmosférická dráha meteoru:
Počáteční výška: 112,8 km
Konečná výška: 96,5 km
Počáteční poloha: 69,805N 16,283E
Konečná poloha: 69,876N 16,056E
Směr: 312,4°
Sklon: 54,1°
VstupnĂ­ rychlost: 66,1 km/s
Rektascenze radiantu: 05:43 (85,9°)
Deklinace radiantu: 38,3°
MeteorickĂ˝ roj: Delta Aurigidy
Elementy dráhy meteoroidu:
Vzdálenost v periheliu: 0,619 AU
Excentricita: 0,942
Sklon dráhy: 149,1°
Délka vzestupného uzlu: 199,6°
Argument perihelia: 257,4°
Střední anomálie: 358,9°
Epocha: 2025 OCT 13 00:59:07
orbit plot

NeinteraktivnĂ­ graf | InteraktivnĂ­ graf

position vs time
speed and acceleration

Skibotn (SKI) cam5


gnomonic
Videa
• Gnomonická
• Gnomonická se souřadnicemi
• Původní
• Původní se souřadnicemi
Obrázky
• Gnomonická
• Gnomonická se souřadnicemi
• Původní
• Původní se souřadnicemi
Textové soubory
• Detekce
• Pozorování
• Souřadnice
• Protokol
Jasnost

Sorreisa (SOR) cam6


gnomonic
Videa
• Gnomonická
• Gnomonická se souřadnicemi
• Původní
• Původní se souřadnicemi
Obrázky
• Gnomonická
• Gnomonická se souřadnicemi
• Původní
• Původní se souřadnicemi
Textové soubory
• Detekce
• Pozorování
• Souřadnice
• Protokol
Jasnost