🇳🇴 🇬🇧 🇩🇪 🇨🇿 🇫🇮

Meteor over Sandefjord 2025-10-13 02:06:49 UTC

KML-fil  |  Interaktivt kart

Kartet viser peilingene for meteoren. De lysere linjene viser retningene fra observasjonsstedene for meteorens tilsynekomst, og de mørkere linjene viser hvor den sist kunne sees. Den blå pila viser meteorens synlige ferd.

static map
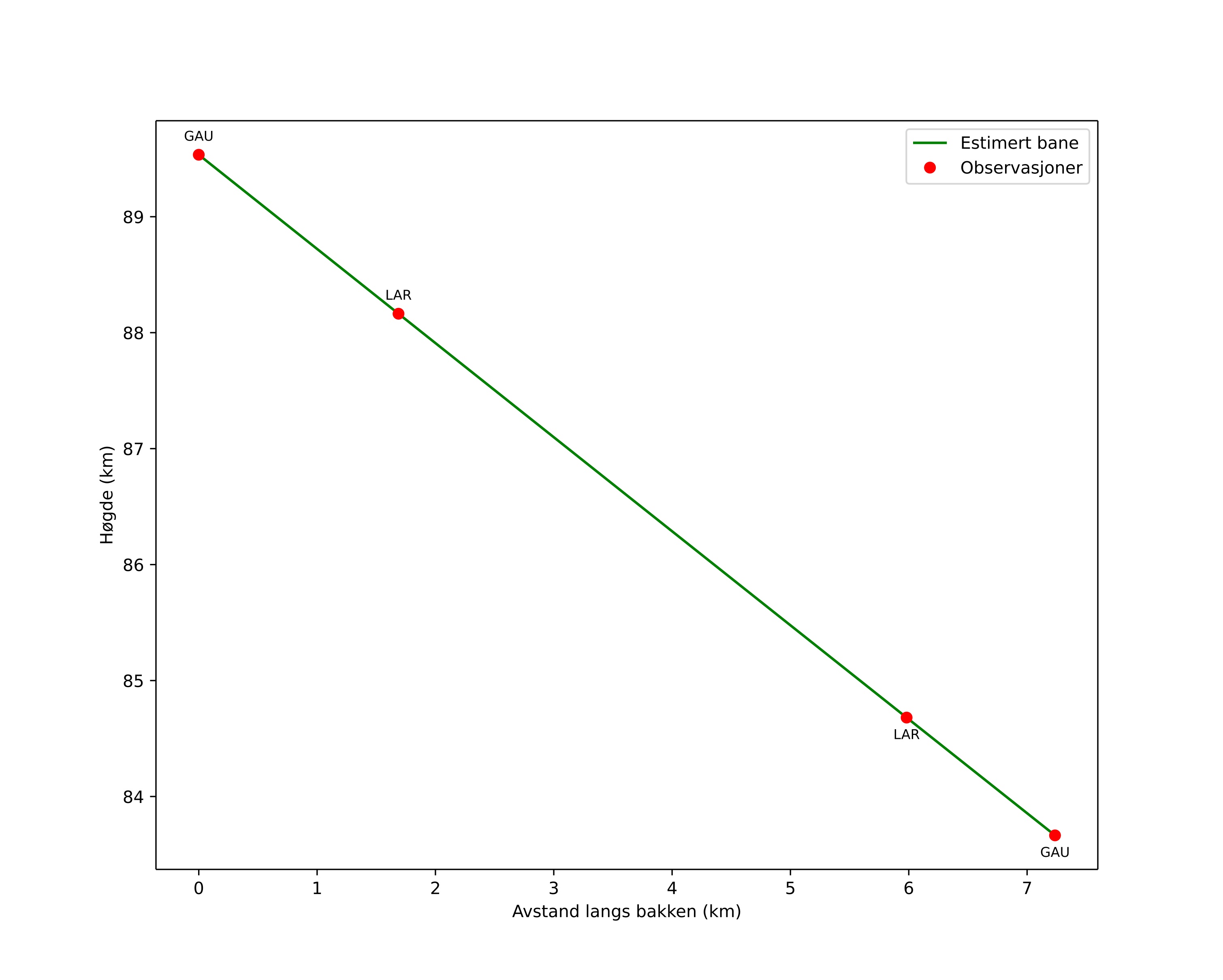
height profile
Meteorens atmosfæriske bane:
Starthøgde: 90,5 km
Slutthøgde: 83,9 km
Startposisjon: 59,099N 10,072E
Sluttposisjon: 59,161N 10,150E
Retning: 32,8°
Fallvinkel: 38,8°
Inngangshastighet: 32,1 km/s
Radiantens rektascensjon: 02:27 (36,9°)
Radiantens deklinasjon: 9,7°
Meteorsverm: Sørlige tauridene
Meteoroidens baneelement:
Perihelavstand: 0,258 AU
Eksentrisitet: 0,854
Inklinasjon: 6,8°
Knutelengde: 19,7°
Perihelargument: 127,6°
Midlere anomali: 342,8°
Epoke: 2025 OCT 13 02:06:49
orbit plot

Ikke-interaktivt plott | Interaktivt plott

position vs time
speed and acceleration

Gaustatoppen (GAU) cam3


gnomonic
Videoer
• Gnomonisk
• Gnomonisk med koordinater
• Original
• Original med koordinater
Bilder
• Gnomonisk
• Gnomonisk med koordinater
• Original
• Original med koordinater
Tekstfiler
• Deteksjon
• Observasjon
• Koordinater
• Logg
Lysstyrke

Larvik (LAR) cam6


gnomonic
Videoer
• Gnomonisk
• Gnomonisk med koordinater
• Original
• Original med koordinater
Bilder
• Gnomonisk
• Gnomonisk med koordinater
• Original
• Original med koordinater
Tekstfiler
• Deteksjon
• Observasjon
• Koordinater
• Logg
Lysstyrke