🇳🇴 🇬🇧 🇩🇪 🇨🇿 🇫🇮

Meteor, poloha: Sandefjord 2025-10-13 02:06:49 UTC

Soubor KML  |  Interaktivní mapa

Mapa zobrazuje dráhy meteoru. Světlejší čáry ukazují směry od pozorovacích stanic při objevení se meteoru a tmavší čáry, kde byl naposledy viděn. Modrá šipka značí viditelnou dráhu meteoru.

static map
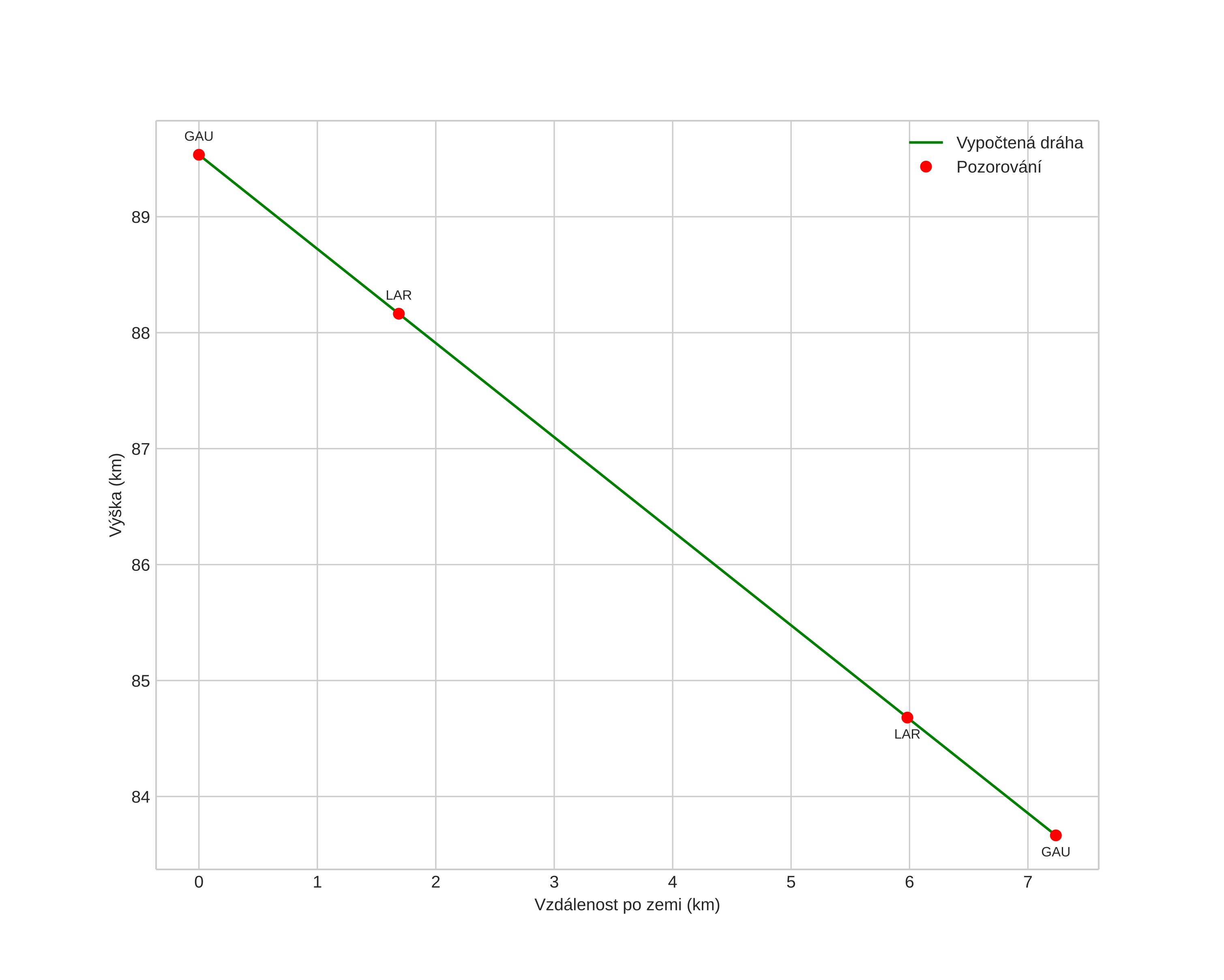
height profile
Atmosférická dráha meteoru:
Počáteční výška: 90,5 km
Konečná výška: 83,9 km
Počáteční poloha: 59,099N 10,072E
Konečná poloha: 59,161N 10,150E
Směr: 32,8°
Sklon: 38,8°
Vstupní rychlost: 32,1 km/s
Rektascenze radiantu: 02:27 (36,9°)
Deklinace radiantu: 9,7°
Meteorický roj: Jižní Tauridy
Elementy dráhy meteoroidu:
Vzdálenost v periheliu: 0,258 AU
Excentricita: 0,854
Sklon dráhy: 6,8°
Délka vzestupného uzlu: 19,7°
Argument perihelia: 127,6°
Střední anomálie: 342,8°
Epocha: 2025 OCT 13 02:06:49
orbit plot

Neinteraktivní graf | Interaktivní graf

position vs time
speed and acceleration